网站首页  词典首页


请输入您要查询的字词:

 

字词 杀螟威
类别 中英文字词句释义及详细解析
释义

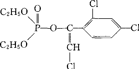
杀螟威

又称毒虫畏。化学名称:O,O,-二乙基2-氯-1(2,5-二氯苯基)乙烯基磷酸酯。化学结构式如下。工业品为琥珀色油状液体,沸点156~158℃/33.33 Pa,密 度(d420) 1.5392,折光率(nd20)1.53。是毒杀畏(又称 Chlorfenvinphos 或Birlane)的异构体,后者毒性较大,苯环上的氯在2,4位置。杀螟威有较强的触杀和胃毒作用,可以用来防治水稻螟虫、各种蚜虫、粘虫、玉米螟及果树害虫。对大鼠口服LD50为56 mg/kg(毒杀畏是10~39 mg/kg)。

随便看

 

离鸟网收录3541549条中英文词条,其功能与新华字典、现代汉语词典、牛津高阶英汉词典等各类中英文词典类似,基本涵盖了全部常用中英文字词句的读音、释义及用法,是语言学习和写作的有利工具。

 

Copyright © 2004-2024 vtrois.com All Rights Reserved
更新时间:2026/4/7 16:45:22