网站首页  词典首页


请输入您要查询的字词:

 

字词 杀鼠剂
类别 中英文字词句释义及详细解析
释义

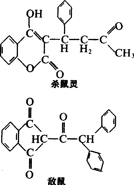
杀鼠剂rodenticides

防治鼠类等有害啮齿动物(radents)的农药。包括通过胃毒和熏蒸作用直接毒杀以及通过化学绝育和驱避作用等间接防治的各种药剂。利用化学药剂灭鼠较其他方法,例如生物防治、遗传防治等有见效快和成本低、容易推广等优点,但存在人畜中毒或二次中毒等的危险。优良的杀鼠剂应该具备:❶对鼠类毒性强大,有选择性;
❷不易产生 二次中毒现象;
❸在使用时对人畜安全;
❹价格便宜。全面符合上述要求的杀鼠剂并不多,应讲究用药方法,安全使用。
简史 中国古代早就有用信石(即砒霜,亚砷酸,砒石)灭鼠的记载。明代宋应星所著《天工开物》中更明确有砒石驱田中黄鼠的叙述。16世纪地中海沿岸国家用红海葱(red sguill)灭鼠。早期的杀鼠剂多为天然植物性杀鼠剂,例如红海葱、马钱子等以及无机化合物,例如亚砷酸、碳酸钡、硫酸亚铊、磷化锌等。1933年第一个有机合成杀鼠剂鼠甘伏(Gliflor)问世,不久就出现了氟乙酸钠、鼠立死、安妥等毒效更强的品种,但这些品种都是急性单剂量杀鼠剂,投药后鼠取食药量如果不足以致死,就会产生拒食现象。1944年林克(K.P.Link)等研究加拿大牛的“甜苜蓿病”,发现双香豆素有毒,后来合成第一个抗凝血性杀鼠剂杀鼠灵(warfarin)。为杀鼠剂开辟一个新的领域。这类杀鼠剂,如克灭鼠(coumafuryl)、敌鼠等十几个品种的共同特点是鼠类中毒慢,不拒食,可连续摄食造成累积中毒死亡; 对其他非毒杀目标安全。因此很快成为世界上用量最大的 一类杀鼠剂。20世纪50年代末期鼠类对抗凝血性杀鼠剂产生了严重的抗药性以及交互抗药性,使这类药剂的效果大受影响。70年代中期英国首先合成克服抗药性的新杀鼠剂鼠得克(difenacum),法国开发了澳敌隆,英国又推出溴鼠隆(brodifacoum)。这些杀鼠剂克服了杀鼠灵等第一代抗凝血杀鼠剂须多次投药的缺点,增强了急性毒性,而且对抗药性鼠毒效好,称第二代抗凝血杀鼠剂。另外,对驱鼠剂、诱鼠剂、不育剂也有研究,但实用者不多。
分类和性能 按作用方式杀鼠剂可分为胃毒剂、熏蒸剂、驱避剂、引诱剂和不育剂。
胃毒杀鼠剂 通过取食食物进入消化系统而使鼠中毒致死的一类杀鼠剂。现常用的杀鼠剂绝大部分是胃毒剂。其中又可分为植物性杀鼠剂、无机和有机合成杀鼠剂。来源于红海葱的海葱素(scilliroscide),来源于马钱子的毒鼠碱(strychnine),都属于植物性杀鼠剂。这类药剂的最大特点是适口性好、杀鼠效果好。海葱素有催吐作用,对人畜较安全,鼠类没有呕吐中枢故会中毒,使心脏麻痹死亡。由于药源限制目前使用已经很少。无机胃毒剂目前仍然使用的只有磷化锌,其他如亚砷酸、硫酸铊等均己很少应用,磷化锌本身具有大蒜臭味,对鼠有一定引诱力,对人却起警戒作用。对鼠类的适口性较好,故至今仍为常用杀鼠剂。种类最多最重要的胃毒杀鼠剂是有机合成杀鼠剂。这类药剂按其致毒作用大体上又可分为两大类。


毒鼠碱


急性(或单剂量)杀鼠剂 这类药剂常用的有安妥,氟乙酸类,包括氟乙酸钠和氟乙酰胺等品种。对鼠毒性大、在胃肠中吸收快、中毒致死快、效果好。但有易引起其他食肉动物和猛禽二次中毒问题,对人畜也不安全。毒鼠磷和溴代毒鼠磷是有机磷杀鼠剂,作用缓慢,

对非靶标动物有一定选择性,二次中毒的危险性较小。药剂主要作用于神经系统的乙酰胆碱酯酶,与有机磷杀虫剂作用机理相同。其他有机合成急性杀鼠剂品种甚多,重要的品种及结构举例如下:

这类品种均因特点不突出,仅少数国家有所应用。
慢性(或多剂量)杀鼠剂 这类药剂的主要作用机理是作用于肝脏,对抗维生素K1,阻碍凝血酶原的生产,破坏正常血凝功能。中毒动物死于大出血(后被称为第一代抗凝血杀鼠剂)。毒作用缓慢须多次摄食才能产生效果。由于作用慢鼠类不产生拒食反应,故效果优于急性杀鼠剂。采用低浓度毒饵,鼠类可以反复多次取食,既符合摄食习惯又可减少其他非靶标动物及人畜误食中毒的机会,因此公认是最安全的一类杀鼠剂。重要的品种按化学结构可分为两类: ❶香豆素衍生物。共约10多种,使用较多的不过4~5种。如杀鼠灵、杀鼠迷、克灭鼠等。第二代抗凝血杀鼠剂的主要品种都属此类,如鼠得克、溴敌隆、溴鼠隆等。

其中溴鼠隆是目前抗凝血剂毒力最大的一种,对各种啮齿动物的急性口服LD50都在1毫克/千克以下。不仅急性毒力大,而且慢性多次投药的剂量也很低,对抗药性鼠效果极佳。
❷茚满二酮类抗凝血杀鼠剂。重要品种有鼠完、杀鼠酮、敌鼠等。结构式如下:

这类杀鼠剂比香豆素类杀鼠剂急性毒力大、中毒机制也与慢性中毒不同,主要是呼吸循环受阻,鼠类死于窒息。慢性中毒机制与香豆素类相同。
熏蒸杀鼠剂 经呼吸系统吸入有毒气体而毒杀鼠类的一类杀鼠剂。多为熏蒸杀虫剂。例如氯化苦、溴甲烷、磷化氢等,优点是不受鼠类取食行为的影响,作用快速,无二次毒性;缺点是用量大,施药时防护条件及人员操作技术要求高。除粮仓、船舶有时应用外很少使用,个别药剂用于毒杀鼠洞内的鼠类,操作费工难于大面积推广。
驱鼠剂和诱鼠剂 驱赶或诱集,而不直接毒杀鼠类的杀鼠剂。前者只是使鼠避开,不致再啃咬毁坏物品。例如用福美双处理种子、苗木可避免鼠兔啃咬。但一般由于持效期短,不易收到良好效果。诱鼠剂只起引诱鼠类的作用,一般必须和其他杀鼠方法结合使用。但已有的诱鼠剂残效短,效果难于持久。
不育剂 通过药物使雌鼠或雄鼠不育而降低出生率,达到防治目的的间接杀鼠剂,也称化学绝育剂(chemosterilants)。比使用直接杀鼠剂安全,适用于耕地、草原、下水道和垃圾堆等防鼠困难的场所。雌鼠绝育的药剂曾试用过多种甾体激素,雄鼠绝育剂作用持久,可终身绝育。例如多种烷基化剂,呋喃旦啶(furadantin)、氯代丙 二醇等只对雄鼠有效,但作用缓慢,适口性差,鼠类有时拒食。因此未能实际应用。
使用方法 急性杀鼠剂的施药方法主要是毒饵法,毒水、毒粉方法也有应用。毒饵法通常是由诱饵、杀鼠剂和添加剂等制成毒饵,诱鼠食用中毒。诱饵应采用对鼠类有高度引诱力的饵料,否则将会影响效果,尤其是对急性单剂量杀鼠剂更重要。鼠类不同,食性有差异,加之环境影响很难确定 一种各种鼠都嗜食的饵料,应根据具体情况经试验后选用。添加剂种类很多,分别起着不同的作用。例如加入糖、植物油及食盐主要起改善味觉的作用,增加摄食量。粘着剂主要可使杀鼠剂与饵料粘着牢固,不致破碎脱落。加入适量防腐剂可使毒饵不致霉变,但对硝基酚、苯甲酸等防腐剂可能会引起鼠类拒食,应慎用。另外,一般毒饵最好加入红色或蓝色染料作为警戒色,鼠类为色盲动物,对取食无影响,但对人或鸟类却可起警戒作用,不致误食中毒。
❷ 毒水法是将易溶于水的杀鼠剂,如氟乙酸类配制成水溶液供鼠饮用中毒。家栖鼠类缺乏饮水难于生活,尤其在炎热的夏天,干旱季节,水对鼠类更有引诱力,效果往往优于毒饵。
❸毒粉法用药主要是针对鼠类有修饰行为(grooming),经常用舌舐爪整理腹毛。将杀鼠剂制成粉剂撒布在鼠洞口和鼠道上,鼠类经过时,毒粉粘在爪上,通过修饰行为将毒粉带进口腔吞入腹内。优点是不受摄食行为的影响,缺点是用量大,费工及可能污染环境,对非靶标动物也不安全。因此除特殊情况,一般主要是采用毒饵法投药。

杀鼠剂rodenticide

以鼠类为防治对象的农药。大都是胃毒剂,使用时和以饵料,鼠取食后中毒致死。常用杀鼠剂对人和家畜有剧毒。可以分为:无机化合物类,如磷化锌、碳酸钡;抗凝血素类,如灭鼠灵、敌鼠、敌鼠钠、氯鼠酮及大隆等;植物类如红海葱、番木鳖;其他如毒鼠磷、甘氟、灭鼠优等。

杀鼠剂

用于防治植物鼠害的农药。20世纪40年代之前主要为无机和植物性杀鼠剂,40年代后出现了有机合成杀鼠剂,40年代末出现抗凝血剂。1958年英国发现鼠类的抗药性。70年代末英国研制出新型抗鼠剂。按作用速度杀鼠剂分为速效和缓效2类。按来源分为无机杀鼠剂、有机合成杀鼠剂、植物性杀鼠剂3类。

杀鼠剂

杀鼠剂Shashuji

用于毒杀鼠类的药剂。大多数杀鼠剂都具有胃毒作用。使用时,将其配成毒饵或撒布鼠道上经鼠爪粘沾、舐食入口而致死。人类采用有毒植物、含砷矿物灭鼠已有悠久历史。20世纪初开始采用化学药剂


杀鼠。40年代前,主要采用急性杀鼠剂,如磷化锌Zn3P2、安妥等。鼠类舐食后,短时间内中毒死亡。但不安全,对人、畜和鼠类天敌容易误伤。40年代后,慢性杀鼠剂得到开发应用并逐步取代了急性药剂,成为常规杀鼠药物,如:

慢性杀鼠剂大多数是抗凝血药剂,能抑制鼠体内凝血酶原的合成,导致内部出血致死。鼠类舐食后,需在若干天内,才出现症状和死亡。慢性杀鼠剂选择性好,使用浓度小,对人畜和鼠类天敌安全。但遇鼠类传播猖厥,需紧急大面积防除时,仍可采用急性灭鼠剂。70年代后,在一些经济发达国家已开发使用效力较强又能杀灭耐药性鼠群的第二代抗凝血杀鼠剂。
☚ 杀菌剂   熏蒸剂 ☛

杀鼠剂

用来毒杀鼠类(或啮齿动物)的药剂。具有强大的胃毒作用,鼠类直接吞食药剂或鼠爪粘着药剂舐食入口,均可毒杀致死。多用于毒饵诱杀。如磷化锌、敌鼠钠等。

杀鼠剂

杀鼠剂

杀鼠剂是杀灭啮齿类动物仓鼠、家鼠和田鼠等的药物。要求对鼠毒性大,而对人畜毒性小。常用的杀鼠剂,按其化学特性可分为以下几类:
(1) 熏蒸杀鼠剂: 如氢氰酸、氯化苦、磷化氢和二硫化碳等。用这类杀鼠剂灭鼠称为熏鼠法,常用于消灭车箱、船舱、飞机货舱、货栈、建筑物及下水道等处的鼠类。因该类药物属剧毒类,应用时要严格注意个人防护,遵守安全操作规程。
(2) 无机杀鼠剂: 包括白磷、磷化锌、磷化铝和铊的盐类(硫酸铊、醋酸铊、硝酸铊)以及碳酸钡、亚砷酸钠等。含铊、钡、砷等药物对人畜毒性均很大,故目前已不用。但磷化锌仍在以毒饵法使用。
(3) 有机合成杀鼠剂: 这类药物种类甚多,用途也较广,可以归纳为以下几种:
❶硫脲类衍生物,如安妥。
❷有机氟类,如氟乙酰胺、氟乙酸钠(又称1080),属剧毒类,故已被淘汰。
❸茚满二酮类,如敌鼠、杀鼠酮、杀鼠灵等,为抗凝血类的杀鼠剂,其特点是鼠类染毒后血液中凝血酶原活力抑制,导致鼠体内及皮下出血致死。
(4) 天然植物性杀鼠剂: 如红海葱、马钱子碱(士的宁)类药物为痉挛剂,可使全身性肌肉抽搐、强直性痉挛,最后心血管系统衰竭或窒息致死。鼠食含有红海葱的食物后,不会呕吐,起杀鼠作用,而人如误食则可用催吐剂催吐而将它排出。这类药物可以做成粉末、糊剂或液体,但常以毒饵法诱鼠中毒。
敌鼠 化学结构与香豆素相似,为抗凝血性杀鼠剂。


常用其钠盐,称为敌鼠钠盐。小鼠经口LD50,一次投药,敌鼠约为119.5mg/kg; 如连续4天给药,每天只给3.2mg/kg,则LD50总量仅约12.8mg/kg。故连续多次摄入,可达到累积效应而发挥毒效。其中毒机理是: 维生素K是肝中某种酶蛋白的辅基,维生素K与此酶蛋白结合成为活性酶,促进凝血酶原和Ⅶ、Ⅸ、Ⅹ凝血因子的生成; 敌鼠在肝中也可与此种酶蛋白结合,成为无活性的产物,因而妨碍了凝血因子的生成。本品还有损伤毛细血管的作用。肝中贮存的一定量的凝血因子,不可能立即耗尽,故一次给药造成中毒所需剂量甚大,而连用数日,则很小剂量即可中毒。
人中毒时诉背痛、腹痛、呕吐,主要有皮肤、粘膜、肌肉和内脏出血,可因贫血、虚脱而死亡。凝血指标的检查是重要的诊断依据。治疗以注射维生素K1为主,重症者需连续治疗数天或输血。
杀鼠酮 化学结构与香豆素相似,兼有杀虫活性。大鼠经口LD0为280mg/kg。


杀鼠灵 又名华法灵。为香豆素类衍生物。易经胃肠道吸收。大鼠经口急性LD50,雌性约60mg/kg,雄性约300mg/kg。连续几天给毒,毒性明显增高。中毒机理、症状及中毒治疗与敌鼠相同。


磷化锌(Zn3P2) 经口LD50大鼠为45mg/kg,小鼠为3~5mg/kg。人摄入2~3g可能致死。磷化锌摄入后在胃酸作用下形成磷化氢及氯化锌。后者对胃粘膜有刺激作用,前者则以损害中枢神经系统、呼吸系统、心血管系统和肝、肾功能为主。轻度中毒有头痛、乏力、消化道症状、胸闷和咳嗽等; 中度中毒时意识不清、抽搐和呼吸困难;重度时则昏迷、惊厥、肺水肿、心肌损伤、肝功障碍、血尿和蛋白尿,与吸入磷化氢所致中毒相似。治疗先用0.5%硫酸铜洗胃,以使形成不溶性磷化铜;再以0.05%高锰酸钾洗胃,使形成无毒的磷酸酐;而后服液体石蜡使磷不被吸收;并以硫酸钠导泻。忌用硫酸镁,以避免镁离子的不良作用。
磷化铝(AlP) 用作粮食熏蒸灭鼠杀虫剂。磷化铝可吸收空气中水分,释出磷化氢气体而发挥毒效。与磷化锌作用原理相同,但使用较方便。吸潮后失效。
毒鼠磷[(ClC6H4O)2P(S)—NHC(CH3)=NH] 为广谱、高效、速灭杀鼠,对禽类毒性很小。经口LD50大鼠为5mg/kg,小鼠为13mg/kg。可经皮肤吸收,小鼠经皮LD50为60mg/kg。中毒机理、毒性表现、解毒治疗与有机磷农药中毒相同。
安妥[C10H7NHC(S)NH2] 又名萘硫脲。褐家鼠经口LD50为7~8mg/kg,但随鼠的种系和季节不同,波动性较大,一般为7~250mg/kg。高温可增加本品的毒性。但对人畜较为安全,人的口服LD为1~40g。中毒时呼吸系统首先受抑制,大剂量可增强肺毛细血管通透性而致肺水肿。人误服后,应先洗胃,保持安静,注意防止肺水肿。可给半胱氨酸及硫代硫酸钠。
杀鼠嘧啶 大鼠及雌性小鼠经口LD50约1.2mg/kg。


中毒时损害中枢神经系统,引起抽搐或麻痹,同时可损害呼吸系统,严重者出现肺水肿。可用吡多辛作解毒治疗。
☚ 除草剂和植物生长调节剂   细胞生物学 ☛

杀鼠剂

raticide;rodenticide

随便看

 

离鸟网收录3541549条中英文词条,其功能与新华字典、现代汉语词典、牛津高阶英汉词典等各类中英文词典类似,基本涵盖了全部常用中英文字词句的读音、释义及用法,是语言学习和写作的有利工具。

 

Copyright © 2004-2024 vtrois.com All Rights Reserved
更新时间:2026/4/7 13:55:52