网站首页  词典首页


请输入您要查询的字词:

 

字词 杀鼠灵
类别 中英文字词句释义及详细解析
释义

杀鼠灵warfarin

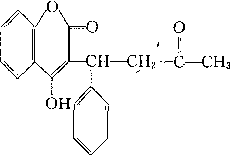
香豆素类抗凝血杀鼠剂。1944年美国的林克(K.P.Link)等人合成并发现了杀鼠灵的抗凝血性质,1950年克拉布特里(D.G.Crabtree)首次报告用它灭鼠成功。化学结构式:


性能 纯品为无臭无味的白色结晶粉末,熔点159~ 161℃。不溶于水、苯、环己烷,微溶于甲醇、乙醇、异丙醇和油类,溶于丙酮、二恶烷。烯醇式为酸性,能成盐。钠盐在25℃水中溶解度为60克/100毫升。有一个不对称碳原子,S-异构体是R-异构体毒力的7~ 10倍。工业品为两异构体的混合物。属高毒物。原药大鼠急性口服LD50为3毫克/千克。猫、狗、猪较敏感。对牛、羊、鸡、鸭毒性较低。适口性好,鼠一般不拒食。为慢性抗凝血剂,鼠服后5~7天死亡,有效期10~ 14天。
应用 市售的多为2.5%的母粉,再配成毒饵使用。主要用0.005~0.025%饵剂防治居住区、仓库、轮船、码头、家禽饲养场所的家栖鼠,也可用0.05%饵剂防治农田野栖鼠。低浓度连续多次投饵灭鼠效果好。饱和投饵法,即投饵后的第二天检查补充被鼠吃掉的毒饵,连续投放到鼠不再取食为止的方法适合防治家栖鼠。还可用0.5~ 1.0%毒粉作为舔剂灭鼠。注意安全,防误食。维生素K1为解毒剂。

杀鼠灵warfarin

又称灭鼠灵。第一代抗凝血慢性杀鼠剂。化学名称:3-(1-丙酮基苄基)-4-羟基香豆素。化学结构式如下。纯品为无色、无臭、无味粉末,熔点159~161℃,溶于丙酮,稍溶于甲醇、乙醇,不溶于水、苯、环己烷。性质稳定。作用于肝脏,对抗维生素K;阻碍凝血酶原的生成,破坏正常的凝血功能,降低血液凝固能力;损害毛细血管,使血管变脆,发生内出血与慢性出血而死亡,潜伏期约一星期左右。以毒饵法防除褐家鼠、黄胸鼠、小家鼠。大鼠急性口服LD50为3 mg/kg。对猫、狗高毒,对牛、羊、鸡、鸭毒性较低。解毒药为维生素K。

杀鼠灵

warfarin

随便看

 

离鸟网收录3541549条中英文词条,其功能与新华字典、现代汉语词典、牛津高阶英汉词典等各类中英文词典类似,基本涵盖了全部常用中英文字词句的读音、释义及用法,是语言学习和写作的有利工具。

 

Copyright © 2004-2024 vtrois.com All Rights Reserved
更新时间:2026/4/8 14:09:48