网站首页  词典首页


请输入您要查询的字词:

 

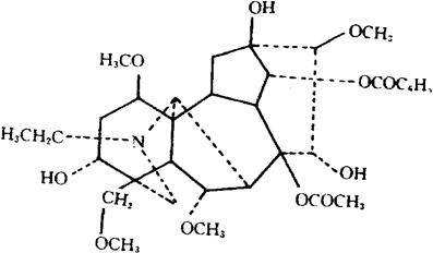
字词 乌头碱
类别 中英文字词句释义及详细解析
释义 乌头碱

C34H47NO11=645.72

CAS-302-27-2

(1α,3α,6α,14α,15α,16β)-20-乙基-1,6,16-三甲氧基-4-(甲氧代甲基)乌头烷-3,8,13,14,15-五醇8-乙酸盐14-苯甲酸盐。

(1α,3α,6α,14α,15α,16β)20-Ethyl-1,6,16-trimethoxy-4-(methoxymethyl)-aconitane-3,8,13,14,15-pentol 8-acetate 14-benzoate.

16-乙基-1,16,19,三甲代基-4-(甲氧基甲基)乌头烷-3,8,10,11,18-五醇8-乙酸盐10-苯甲酸盐。

16-Ethyl-1,16,19-trimethoxy-4-(methoxymethyl)aconitane-3,8,10,11,18-pentol 8-acetate 10-benzoate.

乙酰苯甲酰基阿康碱。

Acetylbenzoylaconine.

解热药。用于中等的发汗药及降低心力及心率的药物。

Aconitine.

USP,USAN,MI.

随便看

 

离鸟网收录3541549条中英文词条,其功能与新华字典、现代汉语词典、牛津高阶英汉词典等各类中英文词典类似,基本涵盖了全部常用中英文字词句的读音、释义及用法,是语言学习和写作的有利工具。

 

Copyright © 2004-2024 vtrois.com All Rights Reserved
更新时间:2026/4/7 18:03:20