网站首页  词典首页


请输入您要查询的字词:

 

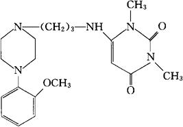
字词 乌拉地尔
类别 中英文字词句释义及详细解析
释义 乌拉地尔

C20H29N5O3=387.48

CAS-34661-75-1

6-[[3-[4-(邻-甲氧苯基)-1-哌嗪基]丙基]氨基]-1,3-二甲基-2,4(1H,3H)-嘧啶二酮。

6-[[3-[4-(o-Methoxyphenyl)-1-piperazinyl]propyl]amino]-1,3-dimethyl-2,4(1H,3H)-pyrimidinedione.

6-[3-[4-(2-甲氧苯基哌嗪-1-基)丙基]氨基]-1,3-二甲基脲嘧啶。

6-[3-[4-(2-Methoxyphenylpiperazin-1-yl)propyl]amino]-1,3-dimethyluracil.

抗肿瘤药,血管扩张药。

Urapidil,Ebrantil,B-66256.

INN,BAN,USAN,MI.

随便看

 

离鸟网收录3541549条中英文词条,其功能与新华字典、现代汉语词典、牛津高阶英汉词典等各类中英文词典类似,基本涵盖了全部常用中英文字词句的读音、释义及用法,是语言学习和写作的有利工具。

 

Copyright © 2004-2024 vtrois.com All Rights Reserved
更新时间:2026/4/7 22:27:34