网站首页  词典首页


请输入您要查询的字词:

 

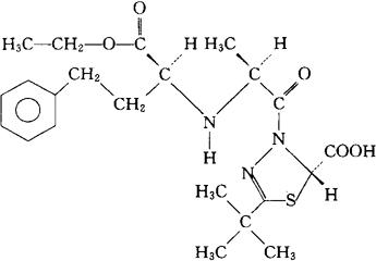
字词 乌替普利
类别 中英文字词句释义及详细解析
释义 乌替普利

C22H31N3O5S=449.57

CAS-109683-61-6

(S)-2-叔-丁基-4-[(S)-N-[(S)-1-羧-3-苯丙基]丙氨酰胺]-△2-1,3,4-噻二唑啉-5-羧酸,4-乙酯。

(S)-2-tert-Butyl-4-[(S)-N-[(S)-1-carboxy-3-phenylpropyl]alanyl]-△2-1,3,4-thiadiazoline-5-carboxylic acid,4-ethyl ester.

抗高血压药。

Utibapril,Methenamine.

INN,BAN,USAN.

随便看

 

离鸟网收录3541549条中英文词条,其功能与新华字典、现代汉语词典、牛津高阶英汉词典等各类中英文词典类似,基本涵盖了全部常用中英文字词句的读音、释义及用法,是语言学习和写作的有利工具。

 

Copyright © 2004-2024 vtrois.com All Rights Reserved
更新时间:2026/4/9 7:57:11