乌比新定
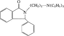
C20H24N2O=308.42 CAS-26070-78-0 2-[2-(二乙氨基)乙基]-2,3-二氢-3-苯基-1H-异吲哚-1-酮。 2-[2-(Diethylamino)ethyl]-2,3-dihydro-3-phenyl1H-isoindol-1-one. 2-[2-(二乙氨基)乙基]-3-苯基苯并[c]吡咯酮。 2-[2-(Diethylamino)ethyl]-3-phenylphthalimidine. 镇咳药,抗心律失常药。 Ubisindine. INN,BAN,USAN.  |