网站首页  词典首页


请输入您要查询的字词:

 

字词 材料包装费
类别 中英文字词句释义及详细解析
释义

材料包装费

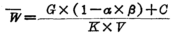
材料在运输过程中所需要包装物品发生的费用。分为供销部门原带包装物品和采购部门自购包装物品两种。材料包装费实际上是指采购部门自购包装物品所发生的费用。其计算公式为:

式中:——为包装费用;
G——包装容器原价;
α——包装材料回收量比例;
β——包装材料回收值比例;
C——使用期间维修费;
K——包装物品周转使用次数;
V——包装容器标准容量或重量。
对于供应部门原带包装物品,因包装费用已经计入材料原价内,所以不必另外计算。但要计算包装器材回收值,并从包装费用中扣除。其计算公式为:

式中:B ——包装器材回收值;
G——包装器材原价;
α——包装器材回收量比例;
β——包装器材回收值比例;
V——包装容器标准容重。
随便看

 

离鸟网收录3541549条中英文词条,其功能与新华字典、现代汉语词典、牛津高阶英汉词典等各类中英文词典类似,基本涵盖了全部常用中英文字词句的读音、释义及用法,是语言学习和写作的有利工具。

 

Copyright © 2004-2024 vtrois.com All Rights Reserved
更新时间:2026/4/8 5:00:41