网站首页  词典首页


请输入您要查询的字词:

 

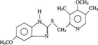
字词 乌非拉唑
类别 中英文字词句释义及详细解析
释义 乌非拉唑

C17H19N3O2S=329.42

CAS-73590-85-9

5-甲氧-2-[[(4-甲氧-3,5-二甲基-2-吡啶基)甲基]硫代]苯并咪唑。

5-Methoxy-2-[[(4-Methoxy-3,5-dimethyl-2-pyridyl)methyl]thio]benzimidazole.

抗溃疡药。

Ufiprazol.

INN,USAN.

随便看

 

离鸟网收录3541549条中英文词条,其功能与新华字典、现代汉语词典、牛津高阶英汉词典等各类中英文词典类似,基本涵盖了全部常用中英文字词句的读音、释义及用法,是语言学习和写作的有利工具。

 

Copyright © 2004-2024 vtrois.com All Rights Reserved
更新时间:2026/4/5 15:02:35