网站首页  词典首页


请输入您要查询的字词:

 

字词 果糖
类别 中英文字词句释义及详细解析
释义

果糖guǒ táng

一种有机化合物,是蔗糖等的组成物质。1913年白鹏飞译《工业常识》附录第二:“果糖(Fruit Sugar): 由果实制出之糖也。”1931年《英汉对照百科名汇》:“Fructose,果糖。”◇左旋糖、左转糖。

果糖fructose

己酮糖的一种。分子式为C6H12O6。自然界存在的是D-果糖,具有开链和各种环状异构体。游离态以吡喃型环状结构占优势,结合态(作寡糖或多糖组分)呈呋喃型环状结构。结构式如下。为左旋糖,易溶于水,可溶于乙醇,是甜度最大的一种糖,有还原性。以游离状态存在于水果、蜂蜜和某些哺乳动物胎儿血液中;呈结合状态存在于蔗糖和菊糖的分子内。对动、植物有重要的营养价值,其磷酸酯参与生物体内各种代谢过程。

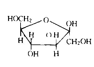
开链-D-果糖

α-D-吡喃果糖

β-D-呋喃果糖

果糖

果糖guotang

一种己酮糖,分子式为C6H12O6
有D,L两种构型,天然存在的果糖为D构型,称为D-果糖,白色晶体,易溶于水,比蔗糖更甜。



酮糖在水溶液中存在开链式结构与环状半缩酮结构的互变平衡,有变旋现象。D-果糖在水溶液中有5种互变异构体。在晶体状态下,D-果糖以吡喃型存在,在形成糖苷、低聚糖和多糖时,主要以呋喃型存在。



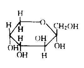
α-D-吡喃果糖 β-D-吡喃果糖
(六元环) (六元环)



D-果糖分子中没有醛基,但酮羰基的邻位有羟基存在,这种α-羟基酮类化合物也具有较强的还原性,可以发生银镜反应,也能与斐林试剂、本尼地试剂反应产生红色沉淀。果糖在发生以上反应时,分子中的碳链发生断裂。
D-葡萄糖能被溴水或次溴酸钠氧化,而D-果糖则不反应。此性质可用于鉴别葡萄糖和果糖。果糖水溶液加间苯二酚的稀盐酸溶液显示红色,也可用于葡萄糖与果糖的鉴别。
D-果糖和苯肼反应形成脎,与D-葡萄糖、D-甘露糖形成的脎相同。
游离的D-果糖存在于水果与蜂蜜中。蔗糖、棉子糖等低聚糖中含有D-果糖。菊科植物根部含有一种叫菊粉的多糖,是D-果糖的高聚体。
☚ 葡萄糖   核糖 ☛

果糖fructose

系单糖的一种。存在于水果和蜂蜜中,味最甜。纯净的果糖为无色晶体,但在通常情况下为粘稠液体,易溶于水,化学性质活泼,具有还原性,易被弱氧化剂氧化,能发生酯化反应、成苷反应与银镜反应;在稀碱液作用下果糖与葡萄糖可互相转化。果糖在食品生产、药品生产中有重要意义。人体内如果缺少果糖激酶,则可引起果糖尿,是一种遗传性疾病。

果糖

一种含有6个碳原子的单糖。糖类中最普通和最甜的糖。广泛存在于生物界。在果汁、蜂蜜及植物腺体花蜜中常以游离状与葡萄糖、蔗糖在一起。动物精液中主要的糖是D-果糖。果糖和葡萄糖缩合形成蔗糖。参见“工程技术”中的“果糖”。


果糖

一种六碳多羟基酮糖。与葡萄糖是同分异构体。纯净果糖为均匀莹白晶体,甜度高于蔗糖、葡萄糖,能直接被人体吸收。

果糖fructose

为一种六碳酮糖,含于果汁与蜂蜜中。

果糖

fruit sugar;fructose


果糖

fructose

随便看

 

离鸟网收录3541549条中英文词条,其功能与新华字典、现代汉语词典、牛津高阶英汉词典等各类中英文词典类似,基本涵盖了全部常用中英文字词句的读音、释义及用法,是语言学习和写作的有利工具。

 

Copyright © 2004-2024 vtrois.com All Rights Reserved
更新时间:2026/5/26 14:56:37