乘数-加速数模型
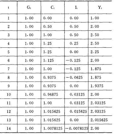
用乘数与加速原理的相互作用来解释经济周期性波动的一种理论。 由美国经济学家A.汉森与P.萨缪尔森提出,故又称为“汉森-萨缪尔森模型”。这一模型说明,投资或其他需求项目(如政府支出)的变动会通过乘数作用影响国民收入,而国民收入的变动又会通过加速原理来影响投资。正是这种乘数与加速数的相互作用使经济中形成了周期性波动。萨缪尔森用下列模型来表述这一理论。 设Yt、Ct、It、Gt分别为现期收入、现期消费、现期投资与现期政府支出。根据凯恩斯主义国民收入决定理论,现期收入等于现期消费、现期投资和现期政府支出之和: Yt=Ct+It+Gt (1) 消费取决于边际消费倾向(α)和前期收入(Yt-1): Ct=α·Yt-1 (2) 投资取决于加速系数(β)和消费的变动(CtCt-1):  It=β(Ct-Ct-1)=αβ(Yt-1-Yt-2) (3) 把(2)与(3)式代入(1)式,得出: Yt=α·Yt-1+αβ(Yt-1-Yt-2)+Gt 再设α=0.5,β=1,则可作出上表。 由上表可以看出,由于乘数和加速数的相互作用,即投资、消费与国民收入的相互影响,从而使经济形成了周期性波动。所以,如果让经济本身的力量自发调节,经济中周期性的波动就是正常的。 要减缓或消除这种波动,必须由政府干预经济。参见“加速原理”、“乘数原理”。 |