网站首页  词典首页


请输入您要查询的字词:

 

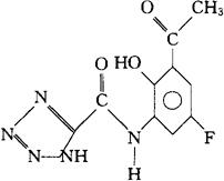
字词 乙氟司特
类别 中英文字词句释义及详细解析
释义 乙氟司特

C10H8FN5O3=265.20

CAS-70977-46-7

3′-乙酰-5′-氟-2′-羟基-1H-四唑-5-甲酰苯胺。

3′-Acetyl-5′-fluoro-2′-hydroxy-1H-tetrazole-5-carboxanilide.

抗过敏药。

Eflumast.

INN,USAN.

随便看

 

离鸟网收录3541549条中英文词条,其功能与新华字典、现代汉语词典、牛津高阶英汉词典等各类中英文词典类似,基本涵盖了全部常用中英文字词句的读音、释义及用法,是语言学习和写作的有利工具。

 

Copyright © 2004-2024 vtrois.com All Rights Reserved
更新时间:2026/4/9 12:12:47