网站首页  词典首页


请输入您要查询的字词:

 

字词 乙炔睾丸酮[中]
类别 中英文字词句释义及详细解析
释义 乙炔睾丸酮[中]

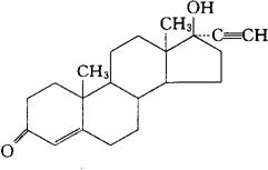
C21H28O2=312.46

CAS-434-03-7

17-乙炔基-17β-羟基雄甾-4-烯-3-酮。

17-Ethynyl-17β-hydroxyandrost-4-en-3-one.

孕激素类药。用于子宫功能性出血及月经过多、先兆性和习惯性流产。

妊娠素,炔孕酮。

Ethisterone,Pranone,Progestoral,Syngestrotabs,Progesoral,Pregneninolone.

乙炔睾丸酮片(妊娠素片)。

INN,BP,DCF,DCIT,FP,IP,JP,NFN,NF,PH,USAN,USP,USSRP,MI.

随便看

 

离鸟网收录3541549条中英文词条,其功能与新华字典、现代汉语词典、牛津高阶英汉词典等各类中英文词典类似,基本涵盖了全部常用中英文字词句的读音、释义及用法,是语言学习和写作的有利工具。

 

Copyright © 2004-2024 vtrois.com All Rights Reserved
更新时间:2026/4/9 12:38:35