网站首页  词典首页


请输入您要查询的字词:

 

字词 乙磺酸去痛定[中]
类别 中英文字词句释义及详细解析
释义 乙磺酸去痛定[中]

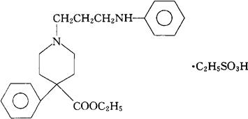
C23H30N2O2·C2H6O3S=476.63

CAS-7081-52-9

1-[3-苯胺基丙基]-4-苯基哌啶-4-羧酸乙酯单乙烷磺酸盐。

4-Phenyl 1-[3-(phenylamino)propyl]-piperidine-4-carboxylic acid ethyl ester,monoethanesulfonate.

镇痛药。

乙磺酸匹米诺定。

Piminodine Esylate,Priminodine Esylate,Piminodine,Ethanesulfonate,Alvodine Ethanesulfonate.

去痛定注射液。

NF,USAN,MI.

随便看

 

离鸟网收录3541549条中英文词条,其功能与新华字典、现代汉语词典、牛津高阶英汉词典等各类中英文词典类似,基本涵盖了全部常用中英文字词句的读音、释义及用法,是语言学习和写作的有利工具。

 

Copyright © 2004-2024 vtrois.com All Rights Reserved
更新时间:2026/4/9 12:39:28