网站首页  词典首页


请输入您要查询的字词:

 

字词 乙酰天麻素[中]
类别 中英文字词句释义及详细解析
释义 乙酰天麻素[中]

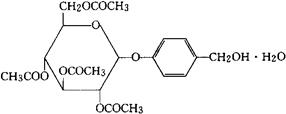
C21H26O11·H2O=472.44

4-羟甲基苯基-2′,3′,4′,6-四-O-乙酰-6-d-吡喃葡萄糖苷一水化合物。

4-Hydroxymethylphenyl-2′,3′,4′,6-tetra-O-acetyl6-D-glucopyranoside,monohydrate.

镇静镇痛药。用于失眠及血管神经性头痛。

Acetagastrodin.

乙酰天麻素片。

随便看

 

离鸟网收录3541549条中英文词条,其功能与新华字典、现代汉语词典、牛津高阶英汉词典等各类中英文词典类似,基本涵盖了全部常用中英文字词句的读音、释义及用法,是语言学习和写作的有利工具。

 

Copyright © 2004-2024 vtrois.com All Rights Reserved
更新时间:2026/4/9 12:08:33