网站首页  词典首页


请输入您要查询的字词:

 

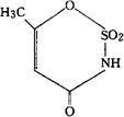
字词 乙酰舒泛
类别 中英文字词句释义及详细解析
释义 乙酰舒泛

C4H5NO4S=163.15

CAS-33665-90-6

6-甲基-1,2,3-鲊噻嗪-4(3H)-酮,2,2-二氧化物。

6-Methyl-1,2,3-oxathiazin-4(3H)-one 2,2-dioxide.

甜味药。

Acesulfame.

INN,BAN,USAN.

随便看

 

离鸟网收录3541549条中英文词条,其功能与新华字典、现代汉语词典、牛津高阶英汉词典等各类中英文词典类似,基本涵盖了全部常用中英文字词句的读音、释义及用法,是语言学习和写作的有利工具。

 

Copyright © 2004-2024 vtrois.com All Rights Reserved
更新时间:2026/4/8 3:23:36