网站首页  词典首页


请输入您要查询的字词:

 

字词 乙酰螺旋霉素[中]
类别 中英文字词句释义及详细解析
释义 乙酰螺旋霉素[中]

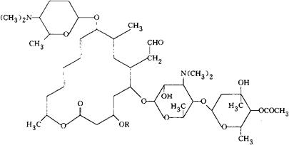
CAS-8025-81-8(spiramycin)

为三种成分组成 Acetylspiramycin Ⅰ,Ⅱ,R=COCH3,Ⅲ∶R=COCH2CH3的混合物。

抗生素类药。主要用于革兰氏阳性球菌和部分阴性杆菌感染。

如肺炎双球菌、金葡球菌、链球菌、卡他球菌所引起的肺部感染、化脓性扁桃体炎、乳腺炎、骨髓炎、中耳炎及皮肤软组织感染。亦用于对青霉素、红霉素耐药的葡萄球菌感染。

Acetylspiramycin.

乙酰螺旋霉素片,乙酰螺旋霉素胶囊,乙酰螺旋霉素肠溶胶囊。

随便看

 

离鸟网收录3541549条中英文词条,其功能与新华字典、现代汉语词典、牛津高阶英汉词典等各类中英文词典类似,基本涵盖了全部常用中英文字词句的读音、释义及用法,是语言学习和写作的有利工具。

 

Copyright © 2004-2024 vtrois.com All Rights Reserved
更新时间:2026/4/8 16:41:09