网站首页  词典首页


请输入您要查询的字词:

 

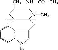
字词 乙酰麦角明
类别 中英文字词句释义及详细解析
释义 乙酰麦角明

C18H23N3O=297.40

CAS-3031-48-9

(+)-N-乙酰基-9,10-二氢麦角明。

(+)-N-Acetyl-9,10-dihydrolysergamine.催产药。用于催产。

醋氢麦角胺,乙酰二氢麦角胺。

Acetergamine.

INN,USAN.

随便看

 

离鸟网收录3541549条中英文词条,其功能与新华字典、现代汉语词典、牛津高阶英汉词典等各类中英文词典类似,基本涵盖了全部常用中英文字词句的读音、释义及用法,是语言学习和写作的有利工具。

 

Copyright © 2004-2024 vtrois.com All Rights Reserved
更新时间:2026/4/9 9:24:52