网站首页  词典首页


请输入您要查询的字词:

 

字词 乙醚抽出物含量的测定计算
类别 中英文字词句释义及详细解析
释义 乙醚抽出物含量的测定计算

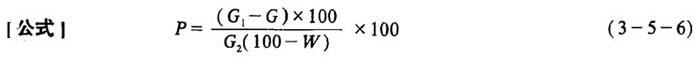
[测定方法]执行GB2677.6-81(国家标准局发布,1981-08-01实施)。

式中 P——乙醚抽出物(%)

G——扁形称量瓶重量(g)

G1——称量瓶及已烧干残渣重量(g)

G2——风干试样重量(g)

W——试样水分(%)

随便看

 

离鸟网收录3541549条中英文词条,其功能与新华字典、现代汉语词典、牛津高阶英汉词典等各类中英文词典类似,基本涵盖了全部常用中英文字词句的读音、释义及用法,是语言学习和写作的有利工具。

 

Copyright © 2004-2024 vtrois.com All Rights Reserved
更新时间:2026/4/9 7:58:25