网站首页  词典首页


请输入您要查询的字词:

 

字词 柱晶白霉素与交沙霉素
类别 中英文字词句释义及详细解析
释义
柱晶白霉素与交沙霉素

柱晶白霉素与交沙霉素

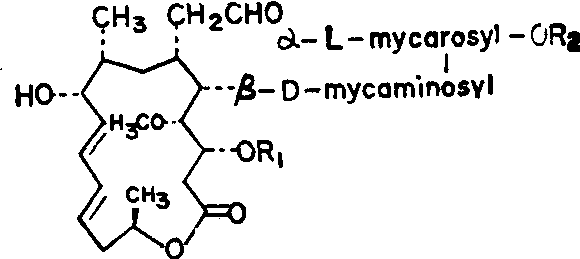
 R1R2
柱晶白霉素A1
柱晶白霉素A3
(即交沙霉素)
H
COCH3
COCH2CH(CH3)2
同上
柱晶白霉素A4
A5
A6
A7
A8
A9
同上
H
COCH3
H
COCH3
H
COCH2CH2CH3
同上
COCH2CH3
同上
COCH3
同上

柱晶白霉素(leucomycin) 是Str.kitasatoensis所产生的碱性十六元大环内酯抗生素。商品为以柱晶白霉素A1或A5为主的A1、A3、A4、A5、A6、A7等的混合物。难溶于水,易溶于有机溶剂。供静脉注射的柱晶白霉素酒石酸盐易溶于水。
本品对革兰阳性细菌如金黄色葡萄球菌、溶血性链球菌、炭疽杆菌、破伤风杆菌、白喉杆菌等有很强的抗菌作用,对钩端螺旋体、立克次体、沙眼衣原体等也有相当作用。对革兰阳性球菌的作用较红霉素略差,但较竹桃霉素和螺旋霉素强。其作用机理与红霉素相同,本品不易诱导细菌产生耐药性,属于“非诱导型”大环内酯。
本品口服吸收良好,主要自胆汁中排出。毒性低,副作用主要为胃肠道反应,偶见皮疹。
柱晶白霉素临床适应证与红霉素相同。大多数对红霉素耐药的金黄色葡萄球菌对本品仍敏感。故可用于耐红霉素金黄色葡萄球菌的感染。
成人口服量每日1.5g,分3~4次服。静脉注射用酒石酸盐。成人剂量为每日8~12小时缓慢注入200~400mg。
交沙霉素 (josamycin) 是由Str. narbonensis var.josamyceticus所产生。它与柱晶白霉素A3为同一物质。
交沙霉素抗菌谱与红霉素类似,但抗菌活性略低。细菌对交沙霉素与红霉素的交叉耐药程度甚微,对红霉素耐药的葡萄球菌中90%对本品仍敏感。与麦迪霉素相同,不易使细菌产生诱导耐药,属于“非诱导型”大环内酯。
交沙霉素可用于治疗呼吸系统感染,如急慢性支气管炎、肺炎、扁桃体炎、猩红热、脓皮病、手术后感染等,有很好疗效,亦可用于尿路感染等。本品毒性小,副作用发生率低,主要为胃肠道反应。
口服: 成人每日0.8~1.2g,分3~4次服。
☚ 竹桃霉素和三乙酰竹桃霉素   麦迪霉素 ☛
00005633
随便看

 

离鸟网收录3541549条中英文词条,其功能与新华字典、现代汉语词典、牛津高阶英汉词典等各类中英文词典类似,基本涵盖了全部常用中英文字词句的读音、释义及用法,是语言学习和写作的有利工具。

 

Copyright © 2004-2024 vtrois.com All Rights Reserved
更新时间:2026/4/5 19:02:22