网站首页  词典首页


请输入您要查询的字词:

 

字词 标准估计误差
类别 中英文字词句释义及详细解析
释义

标准估计误差standard error of estimation

在进行回归系数假设检验时,需计算回归系数标准误Sb,计算公式为:

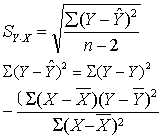
式中分子SY·X为标准估计误差,即各观察值距回归直线的标准差,又称为剩余标准差,计算公式为:

随便看

 

离鸟网收录3541549条中英文词条,其功能与新华字典、现代汉语词典、牛津高阶英汉词典等各类中英文词典类似,基本涵盖了全部常用中英文字词句的读音、释义及用法,是语言学习和写作的有利工具。

 

Copyright © 2004-2024 vtrois.com All Rights Reserved
更新时间:2026/4/9 2:28:25