网站首页  词典首页


请输入您要查询的字词:

 

字词 样本容量
类别 中英文字词句释义及详细解析
释义

样本容量Sample Capacity

参见“样本”。

样本容量

样本容量

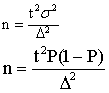
又称“样本数”。指一个样本的必要抽样单位数目。在组织抽样调查时,抽样误差的大小直接影响样本指标代表性的大小,而必要的样本单位数目是保证抽样误差不超过某一给定范围的重要因素之一。因此,在抽样设计时,必须决定样本单位数目,因为适当的样本单位数目是保证样本指标具有充分代表性的基本前提。必要抽样数目主要取决于下列因素:(一)研究总体的标志变异程度。标志变异程度大,则样本单位数目应多些,反之则可少些。(二)抽样极限误差“△”数值大,样本单位数目可少些,反之则要多些。(三)推断结果的把握程度要求高,则样本单位数目应多些,反之则可少些。必要抽样单位数目是根据抽样极限误差公式推导确定的。但由于进行抽样调查前并不知道总体的差异程度,就需要组织一次试验性的抽样调查,用样本的差异程度指标代替总体的差异程度指标,或者用以前同类抽样调查资料取得的指标值来代替,以确定抽样调查所需样本单位数目。以简单随机抽样为例,测定平均数的必要抽样数目的基本公式为:。式中,n为必要抽样数目,t为把握度系数(可依照规定的把握度由t值表查出),σ为总体的差异程度,Δ为平均数的允许误差。测定成数的必要抽样数目的基本公式为:n=t2P(1-P)/Δ2P。式中,n与t的意义同上式,P为总体成数,Δ2P为成数的允许误差。
抽样的样本单位数是在抽样前就要确定的。从理论上讲,样本越多,就越准确可信。但这样既不经济有时也不可能。所以,实际调查中只需在一定的把握程度(允许误差)下,抽取一个最低限度的样本数目。因为样本容量过小,对总体的代表性会不充分,以致达不到所要求的准确程度。但如果样本数目太大,则会造成不必要的人财物的浪费。国外许多著名的抽样成功的实例表明,并非样本越大越准确,相反常常是使用小样本的许多民意调查都连续获得了准确率相当惊人的效果。

☚ 样本值   样本基础 ☛
样本容量

样本容量

样本中所含个体的数量。

☚ 样本   标志 ☛
样本容量

样本容量

即抽样数目。抽样总体中所包含的单位数。样本容量和抽样误差之间有密切关系。样本容量通常是在抽样之前确定的。从抽样误差公式可以直接计算出抽样误差不超过预定范围所必要的样本容量。在纯随机重复抽样条件下,测定平均数和成数所需的样本容量为:

在纯随机不重复抽样条件下、测定平均数和成数所需的样本容量为:

式中: n为样本容量,N为总体单位数,t为概率度,σ2为总体方差,P为成数,△为误差范围。
☚ 整群抽样   点估计和区间估计 ☛
00006667
随便看

 

离鸟网收录3541549条中英文词条,其功能与新华字典、现代汉语词典、牛津高阶英汉词典等各类中英文词典类似,基本涵盖了全部常用中英文字词句的读音、释义及用法,是语言学习和写作的有利工具。

 

Copyright © 2004-2024 vtrois.com All Rights Reserved
更新时间:2026/4/8 4:27:24