样本方差的简算公式yangben fangcha de jiansuan gong-shi
在计算样本方差和标准差时,先要求得平均故
,然后对每个数据计算离差,这种方法并不是在任
何情况下都很方便的。因为当
不能被n除尽时,
只是近似值,这样计算xi -
及其平方就十分麻烦,且不精确。
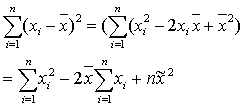
计算样本方差的另一种方法如下。
将离差平方和
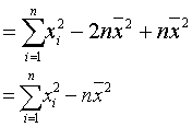
中的平方先展开,再对各项分别求和,于是有



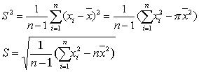
用此公式计算样本方差和标准差较为方便精确。为了更进一步简化平均数

及样本方差S
2的计算,还有以下计算公式。
❶对每个xi都减去 (或加上)一个常数C,则所得的平均数也就相应地减去 (或加上)这个常数,而离差平方和不变,从而样本方差和标准差也不变,即若x′
i=x
i干C, 则

=x-干C, S′
2=S
2, S ′ =S。
❷对每个x
i都乘以 (或除以)相同常数C (C≠0),则所得的平均数也就相应地乘以 (或除以)这个常数,而离差平方和则应乘以(或除以)C
2,因此样本方差也就应乘以 (或除以) C
2,标准差应乘以 (或除以)C,即若x
′i=Cx
i,则
