网站首页  词典首页


请输入您要查询的字词:

 

字词 样本标准差分布
类别 中英文字词句释义及详细解析
释义

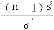
样本标准差分布

依赖于样本所属总体的分布。当总体X~N(μ,σ2)时,记样本标准差为s,那么~x2(n-1)。常被应用于测验分数统计中。

随便看

 

离鸟网收录3541549条中英文词条,其功能与新华字典、现代汉语词典、牛津高阶英汉词典等各类中英文词典类似,基本涵盖了全部常用中英文字词句的读音、释义及用法,是语言学习和写作的有利工具。

 

Copyright © 2004-2024 vtrois.com All Rights Reserved
更新时间:2026/5/28 17:43:20