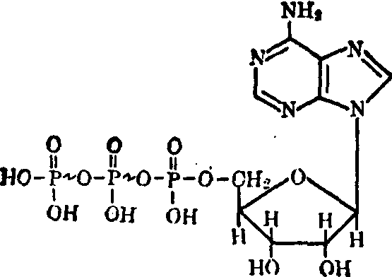
核苷酸nucleotide由碱基(嘌呤碱或嘧啶碱)、戊糖(核糖或脱氧核糖)和磷酸组成的化合物。磷酸以磷酸酯键与戊糖连接,戊糖又以糖苷键和碱基连接。根据戊糖不同分为核糖核苷酸(简称核苷酸)和脱氧核糖核苷酸(简称脱氧核苷酸);按磷酸与戊糖连接位置不同分为3′-核苷酸和5′-核苷酸;根据碱基不同又分为各种以碱基命名的核苷酸,如腺嘌呤核苷酸(AMP)、胞嘧啶核苷酸(CMP)、鸟嘌呤脱氧核苷酸(dGMP)等。核苷酸和脱氧核苷酸分别为RNA和DNA的基本结构单位;有的核苷酸(如腺嘌呤核苷酸)又是某些辅酶的组成成分;其衍生物核苷二磷酸和核苷三磷酸是高能磷酸化合物,在物质和能量的代谢过程中起重要作用。 核苷酸 核苷酸hegansuan由嘌呤碱或嘧啶碱、戊糖和磷酸构成的小分子有机物,是核酸的结构单元。也可以游离方式存在,其衍生物有多种生物功能。 戊糖的第1个碳原子与嘌呤或嘧啶碱相连构成核苷(或脱氧核苷),其磷酸酯即是核苷酸。生物体内存在的核苷酸多为5-磷酸酯,即磷酸基连在糖的第5个碳原子上。由于在核酸中发现的戊糖有核糖和脱氧核糖两种,故核苷酸又可分为(核糖)核苷酸和脱氧核苷酸两类。其结构通式见图。RNA含核苷酸,主要有腺苷酸(AMP)、胞苷酸(CMP)、鸟苷酸(GMP)和尿苷酸(UMP)4种,DNA含脱氧核苷酸,主要有脱氧腺苷酸(dAMP)、脱氧胞苷酸(dCMP)、脱氧鸟苷酸(dGMP)和脱氧胸苷酸(dTMP)4种。 核苷酸(NMP)的5′-磷酸基还可连结1个磷酸基构成核苷二磷酸(NDP),或者再连接1个磷酸基构成核苷三磷酸(NTP)。这些多磷酸衍生物,特别是腺苷三磷酸在生物体中有着极其重要的作用,它们都是高能化合物。ATP、CTP、GTP和UTP是合成RNA的前体物质;dATP、dCTP、dGTP和dTTP是合成DNA的前体物质。另外,ATP是生物体能量代谢的中心,UTP参与糖的互相转化与合成,CTP参加磷脂的合成,GTP参加蛋白质的合成等。许多重要的辅酶和酶的辅基也是核苷酸衍生物,如NAD+、NADP+、FAD等。由ATP转化的环腺苷酸(cAMP)是重要的调节物质。类似的化合物还有环鸟苷酸和环胞苷酸。

图577 核苷酸的通式 戊糖的碳原子 标以1′,2′……等,以和碱基中的原子标号相区别。图 为核苷酸的结构式。在脱氧核苷酸中2′碳原子上连接 的—OH代以—H
☚ 含氮碱基 碱基比率 ☛ 核苷酸nucleotide系一种有机化合物,亦是医疗上的一种药物。1个核苷酸(单核苷酸)是由1个分子戊糖、1个碱基(有机碱)和1个分子磷酸组成的。碱基和戊糖的化合物叫核苷,核苷再与磷酸结合即成为核苷酸。核苷酸是组成核酸的基本物质。医疗用核苷酸为片剂,每片100mg,1日3次口服,1次100~200mg,主要用于白细胞减少和血小板减少等。 核苷酸核酸的基本结构单位。由 一个核苷和一种磷酸生成的磷酸酯。由核糖核苷生成的称为核糖核苷酸,由脱氧核苷生成的称脱氧核糖核苷酸。核糖核苷的核糖环上有3个自由羟基(2’,3’、单位,称为一个氨基酸残基。5’位上)可以与磷酸酯化分别生成2’-核苷酸,3’-核苷酸,5’-核苷酸。脱氧核苷的核糖环上只有2个自由羟基(3’,5位上),故只能形成二种脱氧核苷酸-3’-脱氧核苷酸,5’-脱氧核苷酸。在细胞内的核苷酸大都是5’-核苷酸。 核苷酸nucleotide是核苷分子中的糖与磷酸形成酯键的化合物。 核苷酸 核苷酸核苷酸是由核苷与磷酸缩合而成的一类磷酸酯。核酸分子的基本结构单位是核苷酸。核酸及某些辅酶水解后都可得到核苷酸。核苷酸的许多物理性质与核苷都非常相似,例如多为无色晶体,熔点高,不溶于普通有机溶剂,但更易溶于水,并具有较强酸性,都具有旋光性,对紫外光的最大吸收波长均在250至280nm左右。核苷酸有多种,其中由核糖核苷形成的磷酸酯叫作核糖核苷酸,由脱氧核糖核苷形成的叫脱氧核糖核苷酸; 含嘧啶类核苷的磷酸酯称为嘧啶类核苷酸,含嘌呤类核苷的称为嘌呤类核苷酸;但都可简化统称为核苷酸。由于核糖核苷中的戊糖含三个自由羟基 (2′、3′及5′),故与磷酸缩合时可生成三种形式磷酸酯,亦即三种形式的核糖核苷酸,例如腺苷与磷酸缩合后可生成三种形式的腺苷酸,即5′-腺苷酸、3′-腺苷酸和2′-腺苷酸。同样,鸟苷、胞苷和尿苷也可分别生成三种形式的(2′,3′及5′)鸟苷酸、胞苷酸及尿苷酸。但是,脱氧核糖核苷分子中的戊糖只含两个自由羟基(3′及5′),故与磷酸缩合时只能生成两种形式的磷酸酯,即两种形式的脱氧核糖核苷酸。例如脱氧腺苷与磷酸缩合后只能生成3′-脱氧腺苷酸和5′-脱氧腺苷酸,而不能生成2′-脱氧腺苷酸。同样,脱氧鸟苷、 
脱氧胞苷及脱氧胸苷与磷酸缩合后也只能生成这样两种形式(3′及5′)的脱氧鸟苷酸、脱氧胞苷酸及脱氧胸苷酸。此外,稀有核苷经磷酸化后也都可形成相应的稀有核苷酸。上述各种核苷酸分子中都只含一个磷酸基,故又统称为一磷酸核苷。但凡是5′-核苷酸的磷酸基都可进一步磷酸化而生成相应的二磷酸核苷或三磷酸核苷,例如5′-腺苷酸(AMP) 进一步磷酸化后可生成二磷酸腺苷(ADP)或三磷酸腺苷 (ATP);5′-尿苷酸(UMP)可进一步磷酸化成二磷酸尿苷(UDP)或三磷酸尿苷(UTP);其他如一磷酸鸟苷(5′-鸟苷酸,酸胞苷(CMP,即5′-胞苷酸)等也都可进一步磷酸化成相应的二磷酸鸟苷(GDP)或二磷酸胞苷(CDP),以及三磷酸鸟苷(GTP)或三磷酸胞苷(CTP)。同样,5′-脱氧核苷酸的磷酸基也可进一步磷酸化成相应的二磷酸脱氧核苷或三磷酸脱氧核苷,例如5′-脱氧腺苷酸 (dAMP,即一磷酸脱氧腺苷)可进一步磷酸化成二磷酸脱氧腺苷(dADP)或三磷酸脱氧腺苷(dATP); 5′-脱氧鸟苷酸(dGMP)、5′-脱氧胞苷酸(dCMP)及5′-脱氧胸苷酸(dTMP)进一步磷酸化后,可分别生成相应的二磷酸或三磷酸脱氧鸟苷(dGDP或dGTP)、二磷酸或三磷酸脱氧胞苷 (dCDP或dCTP)以及二磷酸或三磷酸脱氧胸苷(dTDP或dTTP)。上述的AMP、GMP、CMP及UMP四种核苷酸是各种RNA分子的基本结构单位; dAMP、dGMP、dCMP及dTMP四种核苷酸是各种DNA分子的基本结构单位。而各种二磷酸核苷及三磷酸核苷则都不是RNA或DNA的组成单位,但它们在多种组织细胞中都可自由生成及存在,而且它们分子中的β-磷酸键及γ-磷酸键中所含能量特高,约33kJ (约8kcal),一般称其为高能磷酸键(~),是体内非常重要的一类活性能源物质。此外,ATP、GTP、CTP及UTP是RNA生物合成的基本原料,dATP、dGTP、dCTP及dTTP是DNA生物合成的基本原料; UTP在糖原的生物合成中、CTP在磷脂的生物合成中、GTP在蛋白质的生物合成中都是必不可少;至于ATP则更是广泛参与体内糖类、脂类、蛋白质及核酸等物质的代谢过程,它不仅是多种合成反应的直接能源,而且也是肌肉收缩、神经传导等生理活动所需能量的直接供给者。此外,体内还有各种非常重要的生物活性物质都与核苷酸密切有关,例如辅酶I (CoI或NAD +)、辅酶II(CoII或NADP +)、辅酶A(CoA)、黄素腺嘌呤二核苷酸(FAD)等的化学组成中都含有腺苷酸,这些物质在生物氧化体系及物质代谢过程中都起着极其重要的作用。某些细菌中发现的四磷酸鸟苷(5′-二磷酸3′-二磷酸鸟苷)及五磷酸鸟苷(5′-三磷酸3′-二磷酸鸟苷)能参与基因转录的调控作用。近十多年来,体内还陆续发现了一类环化核苷酸,例如3′5′-环化腺苷酸(cAMP)及3′5′-环化鸟苷酸(cGMP)等,它们广布于各种细胞中,含量虽微,但都可以相应的三磷酸核苷就地生成,也可就地分解,其结构式及反应过程如下:  三磷酸腺苷 (ATP) cAMP对细胞中的许多代谢过程都有调控作用,例如它能激活细胞中的蛋白激酶,此蛋白激酶可促进其他酶分 
子的磷酸化作用,磷酸化后的某些酶往往表现活性降低(例如糖原合成酶)或活性升高(例如磷酸化酶α),从而影响物质代谢的进程。现知多种激素,主要是肽类激素和儿茶酚胺类激素,都是通过cAMP的这种作用方式而发挥其某些生理作用,因此人们常把cAMP称为激素(第一信使)作用中的第二信使。此外,据报道cAMP还有抑制细胞分裂,增强心肌收缩,加速糖异生等作用,而cGMP则有相反的作用。 ☚ 核苷 信使核糖核酸(mRNA) ☛ 核苷酸 核苷酸nucleotide由一个核苷和一个磷酸残基组成,磷酸残基与核苷中糖的一个羟基以酯键结合,是核酸分子的基本结构单位。 ☚ 核心酶 核酸酶 ☛ 核苷酸nucleotide |