网站首页  词典首页


请输入您要查询的字词:

 

字词 核苷酸的合成代谢
类别 中英文字词句释义及详细解析
释义
核苷酸的合成代谢

核苷酸的合成代谢

人体内合成核苷酸的方式:
❶以氨基酸及其他小分子化合物作原料,逐步合成,称为“从头合成”。
❷转变外源性或内源性嘌呤、嘧啶碱及核苷使成为核苷酸,称为“补救合成”或“再利用”。一般情况下,前者是核苷酸合成的主要途径。但在某些组织器官中,又以后者为主。
嘌呤核苷酸的合成
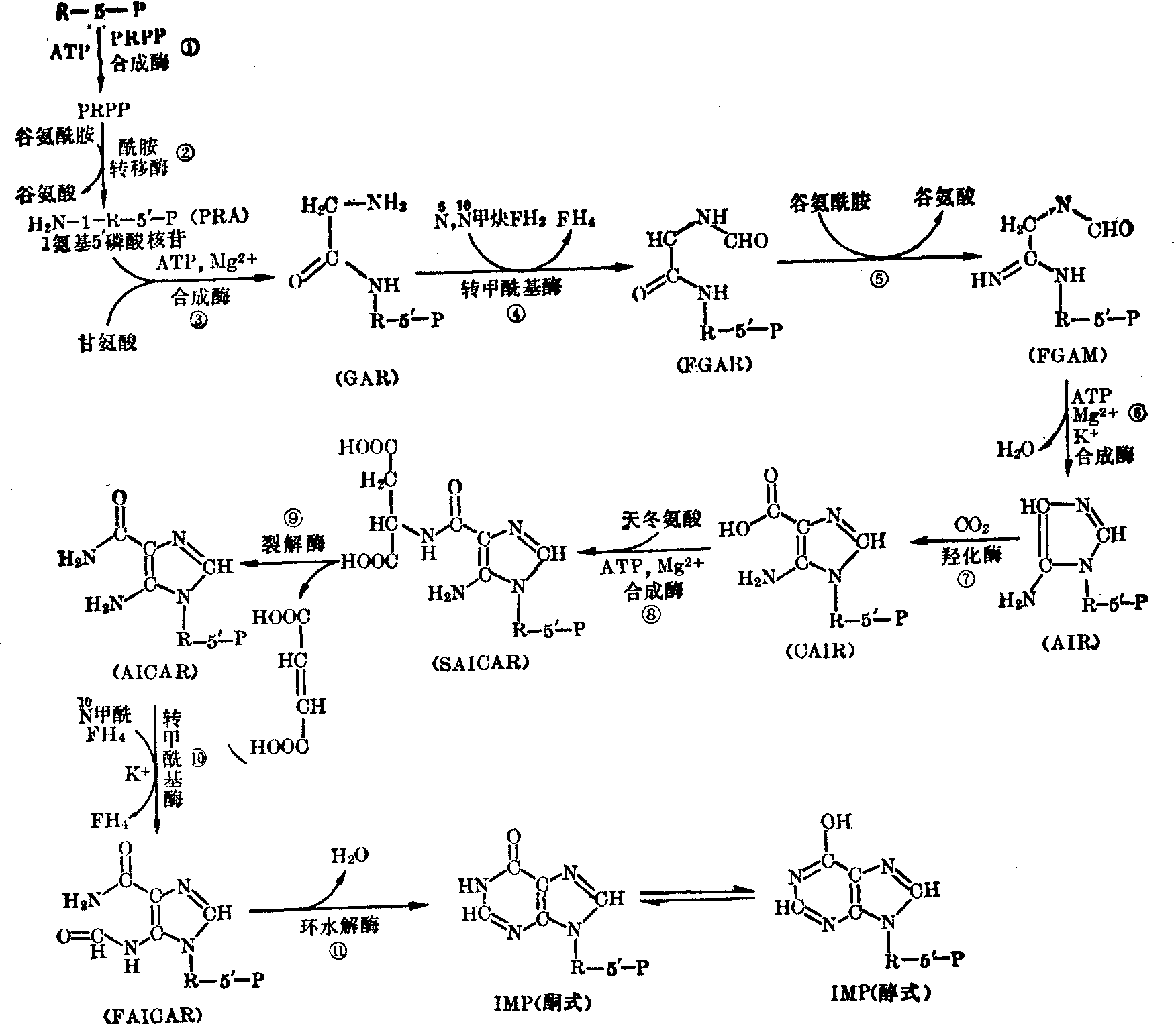
从头合成 嘌呤核苷酸的从头合成以肝脏为主,小肠粘膜和胸腺中亦有之。嘌呤环是以几种小分子化合物为原料。N—1来自天冬氨酸的氨基氮,N—3及N—9来自谷氨酰胺的酰胺氮,C—2及C—8来自一碳单位,C—6来自CO2,而C—4、C—5及N—7则由甘氨酸供给(图1)。

图1 嘌呤环上氮原子及碳原子的来源


嘌呤核苷酸中的磷酸核糖部分则是由1—焦磷酸-5-磷酸核糖(PRPP)供给。而PRPP则是由磷酸戊糖途径生成的5-磷酸核糖(R—5—P)与ATP作用生成。
由PRPP提供的磷酸核糖,再经过10个反应步骤,组成嘌呤环,首先生成次黄嘌呤核苷酸(IMP)。反应见图2。IMP则可转变为腺嘌呤核苷酸(AMP)和鸟嘌呤核苷酸(GMP),反应见图3(反应(12)-(15))。IMP是合成AMP及GMP的前身物。而AMP与GMP生成后,也可转变为IMP。三者可互相转化图3(反应(16)-(17))。
AMP及GMP还可以转变为相应的二磷酸核苷及三磷酸核苷。反应是先后由一磷酸核苷激酶及二磷酸核苷激酶催化,并由ATP供给磷酸根。其他的一磷酸核苷也有类似反应,可表示如下:
补救合成 利用自由嘌呤碱或嘌呤核苷合成嘌呤核苷酸的补救合成途径,在肝脏、骨髓、脾脏等组织中均可进行。而且是骨髓和脾脏中唯一的途径,其合成原料是通过血液由肝脏运输而来。反应中,由PRPP将磷酸核糖部分转移给嘌呤碱。

图2 嘌呤核苷酸的合成


GAR: 1甘氨酰胺5′磷酸核糖苷
FGAM: 甲酰甘氨咪核苷酸
CAIR: 5氨基4羧基咪唑3′磷酸核苷
AICAR· 5氨基4氨甲酰咪唑5′磷酸核苷
FGAR: 1甲酰甘氨酰胺5′磷酸核糖苷
AIR: 5氨基咪唑5′磷酸核苷
SAICAR: 5氨基4琥珀酸氨基甲酰咪唑5′磷酸核苷
FAICAR: 5甲酰胺4氨基甲酰咪唑5′磷酸核苷

图3 由IMP合成AMP及GMP(AMPS为一磷酸腺苷琥珀酸)


此外,还有一种补救合成途径由嘌呤核苷磷酸化酶催化使嘌呤变为嘌呤核苷。
腺嘌呤核苷又可进一步在腺苷酸磷酸激酶的催化下,与ATP作用生成腺苷酸。
有90%以上的自由嘌呤碱在人体内进行补救合成途径,特别是前一种补救合成。
嘌呤核苷酸的合成受几种抗代谢物抑制。如氨基酸类似物、叶酸类似物和嘌呤类似物等。故临床上可用它们作抗癌药或免疫抑制剂。
氮杂丝氨酸结构与谷氨酰胺相似,在嘌呤核苷酸合成代谢中可干扰谷氨酰胺的利用,从而抑制肿瘤的生长6巯基嘌呤(6MP)的结构与次黄嘌呤相似,只是后者的第六位C上的羟基被巯基所代替。6MP可以其一磷酸核苷的形式抑制IMP向AMP及GMP的转变。6MP又能通过竞争性抑制作用直接影响次黄嘌呤-鸟嘌呤磷酸核糖转移酶活性,在补救合成途径中影响AMP及IMP的生成。此外,6巯基嘌呤核苷酸还可通过负反馈的调节,影响PRPP酰胺转移酶,干扰1氨基5磷酸核苷(PRA)的生成。
嘌呤环的C—2及C—8来自一碳单位。叶酸类似物氨基蝶呤及氨甲基蝶呤抑制二氢叶酸(FH2)还原酶的活性,因而抑制叶酸还原生成(FH2)及四氢叶酸(FH4),能干扰一碳单位的转移,并阻碍嘌呤核苷酸的合成。
合成代谢的调节 从大肠杆菌中研究得知,嘌呤核苷酸的合成受到反馈系统的调节(图4)。在酰胺转移酶的催化下,PRPP转变为PRA这一反应,受到各种嘌呤核苷酸产物(—AMP、ADP、ATP及GMP、GDP、GTP)的抑制。两种类型的核苷酸与酶是在不同的别构部位相结合,故属别构调节作用。两种类型的核苷酸在一起时,其抑制作用较单独时要强。例如,单独一定量的GMP或AMP都只能抑制10%,若两者混合一起则可抑制50%。
IMP是AMP及GMP的前身物。GMP可抑制IMP向黄嘌呤核苷酸(XMP)的转变,而AMP能抑制IMP转变为AMPS。AMP及GMP生成过多时,则通过反馈调节可阻止AMP或GMP的生成。
此外,由XMP生成GMP时,需要ATP参与,所以过量的ATP可加速GMP的生成。而过量的GTP则能加速IMP转变为AMPS,所以也促进AMP的生成。
嘧啶核苷酸的合成
合成过程 从头合成能在肝脏中进行。合成原料主要是嘧啶环中N—3,来自NH3,C—2来自CO2。N—1及C—4,C—5,C—6则来自天冬氨酸(图5)。
NH3与CO2在ATP作用下,由氨基甲酰合成酶Ⅱ催化,首先生成氨基甲酰磷酸。后者与天冬氨酸作用,逐步形成嘧啶环。然后,PRPP提供磷酸核糖与嘧啶环结合生成尿苷酸(UMP)(图6反应
❶—
❷)。UMP在磷酸激酶的作用下,接受ATP的高能磷酸根,先后磷酸化成UDP及UTP。

图4 嘌呤核苷酸合成代谢的调节

图5 啶环上氮原子及碳原子的来源


UTP与谷氨酰胺作用,氨基化生成三磷酸胞苷(CTP)(图6反应
❻—
❼)。
在哺乳动物中,也有自嘧啶核苷转变为嘧啶核苷酸的补救合成途径,但数量少并无实际意义。
嘧啶核苷酸的合成代谢可以受到抗代谢物-嘧啶类似物的干扰。抗癌药5-氟尿嘧啶(5—FU)在体内可转变为5-FUMP,及5-F-dUMP,后者可抑制dTMP合成酶,干扰dUMP的甲基化阻碍dTMP生成,因而严重影响了DNA的合成。
合成代谢的调节 嘧啶核苷酸的合成也有反馈调节系统(图7)。
由天冬氨酸与氨基甲酰磷酸作用生成氨基甲酰天冬氨酸 (图6反应
❷),这一反应是嘧啶核苷酸合成的重要环节,合成的最终产物CTP可反馈调节氨基甲酰转移酶。这是一种别构调节作用。ATP与CTP有竞争性的对抗作用,ATP和CTP一样,能在酶的同一个别构点上发生别构调节作用。UMP既能反馈地抑制氨基甲酰合成酶(图6反应
❶),又能对OMP脱羧酶起反馈抑制作用 (图-6反应
❻)。
脱氧核苷酸的生成
一般脱氧核苷酸的生成 脱氧核苷酸中的脱氧核糖并非直接由核糖还原生成,而是以核苷或核苷酸的形式,特别是以二磷酸核苷的形式还原产生。在哺乳动物及大肠杆菌中,在核糖核苷酸还原酶的催化下,二磷酸核苷(ADP、GDP、UDP及CDP),还原为二磷酸脱氧核苷(dADP、dGDP、dUDP及dCDP),反应中有硫氧化还原蛋白参加。在硫氧化还原蛋白还原酶(辅基为FAD)的催化下,其氧化型从NADPH接受氢而还原成还原型(图8)。反应体系中还有B1和B2蛋白,有人认为B1和B2可能是核糖核苷酸还原酶的不同亚基。它们可与许多核苷酸效应物结合,参与核糖核苷酸还原作用的别构调节作用。抗癌药羟基尿素抑制此还原反应,因为它可与B2蛋白结合,使酶失活。

图6 嘧啶核苷酸的合成代谢途径


胸腺嘧啶脱氧核苷酸(dTMP)的生成 与一般脱氧核苷酸不同,dTMP是由dUMP甲基化而生成(图6反应
❽)。甲基由N5,N10-甲烯四氢叶酸(FH4)供给。甲烯四氢叶酸反应后变为二氢叶酸(FH2)。FH2还可在还原酶的作

图8 二磷酸核苷还原为二磷酸脱氧核苷的酶体系

图7 嘧啶核苷酸合成代谢的调节

图9 脱氧核苷的合成代谢的别位调节作用


dATP是一般的抑制物
dTTP,dGTP及ATP是刺激促进的调节物用下再转变为FH4。维生素B12也间接地与此反应有关。
叶酸类似物氨基蝶呤及氨甲蝶呤,对于FH2还原酶有强烈抑制作用。故能抑制叶酸还原生成FH2及FH4。它们因而能抑制dTMP的生成,从而抑制DNA的合成。
合成代谢的调节 在脱氧核苷酸生成过程中,催化二磷酸核苷的还原作用的还原酶,可受到多种核苷酸效应物的别位调节。dATP是四种二磷酸核苷还原作用的反馈抑制物。反之,ATP可促进UDP及CDP的还原作用(图9)。这种复杂的调节作用,对于保证DNA合成所需四种脱氧核苷酸的供给非常重要。
☚ 脱氧核糖核酸(DNA)   核苷酸的分解代谢 ☛
00000661
随便看

 

离鸟网收录3541549条中英文词条,其功能与新华字典、现代汉语词典、牛津高阶英汉词典等各类中英文词典类似,基本涵盖了全部常用中英文字词句的读音、释义及用法,是语言学习和写作的有利工具。

 

Copyright © 2004-2024 vtrois.com All Rights Reserved
更新时间:2026/4/9 8:13:49