网站首页  词典首页


请输入您要查询的字词:

 

字词 格兰杰因果律
类别 中英文字词句释义及详细解析
释义
格兰杰因果律

格兰杰因果律Granger Causality

为检验经济变量间的因果关系,格兰杰于1969年利用滞后分布的概念提出了以其名字命名的因果性定义,并给出了这种因果关系的存在性检验,被称为格兰杰因果律。按常理,由将来不能推测过去,如果变量X是导致变量Y的原因,则变量X的变化将先于Y的变化。格兰杰提出,如果利用X与Y的滞后值对Y进行预测比只用Y的滞后值来预测,产生的预测误差小,即:


σ2(Yt|Yt-k,对∀k>0)>σ2(Yt|(Yt-k

Xt-k),对∀k>0),称X是Y的格兰杰原因,记为X→Y。
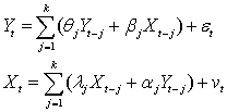
格兰杰因果性检验:考虑下面的回归

(其中,扰动项εt与vt不相关)以及与之对应的零假设


H0xj=0j=1,…,k (1)
H0yj=0 j=1,…,k (2)

对(1)(2)分别应用线性等式约束下的最小二乘估计进行假设检验,该检验方法是由G.Tintner提出来的,故称为Tintner检验。根据检验结果,可将格兰杰因果性分为以下四种情形:
单向因果性X→Y:若拒绝H0x,但接受H0y;
单向因果性Y→X:若拒绝H0y,但接受H0x;
双向因果性Y↔X:若拒绝H0y,也拒绝H0x;
独立性X⊥Y:若接受H0x,也接受H0y
双向因果性又称为反馈(feedback)。
☚ 向量自回归   向量误差纠正模型 ☛
00000799
随便看

 

离鸟网收录3541549条中英文词条,其功能与新华字典、现代汉语词典、牛津高阶英汉词典等各类中英文词典类似,基本涵盖了全部常用中英文字词句的读音、释义及用法,是语言学习和写作的有利工具。

 

Copyright © 2004-2024 vtrois.com All Rights Reserved
更新时间:2026/4/7 4:18:00