网站首页  词典首页


请输入您要查询的字词:

 

字词 棉酚
类别 中英文字词句释义及详细解析
释义

棉酚gossypol

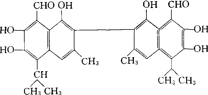
棉籽中含有的酚类物质。结构式为:

在棉籽(仁)饼粕中的棉酚有两种:
❶结合棉酚。不被家畜消化吸收,可很快排出体外,毒性极低。
❷游离棉酚。对单胃家畜有害,应限量饲用。饲料中游离棉酚含量超过安全界限,将导致家畜生长迟缓、中毒或死亡。中毒症状主要为:贫血、精神萎靡、呼吸困难、体弱、繁殖力降低、甚至不育。病理解剖可见体内广泛性出血及水肿。螺旋压榨法与溶剂提法生产的棉籽饼粕相比,游离棉酚含量低。在棉籽(仁)饼粕中加入硫酸亚铁,使游离棉酚与亚铁离子成1:1,两者可螫合生成不能被家畜吸收的物质,从而大大降低游离棉酚的毒性。不含棉酚的新品种棉籽,称为无腺体棉籽。

棉酚gossypol

系一种男性口服避孕药。本品能破坏睾丸曲细精管中的精子、精细胞、精母细胞,使精液中缺乏精子而达到避孕目的。用法为每日1次20mg,连服2个月;然后每周1次40mg,连服4周。用本品期间极少数发生低血钾肌无力症。

随便看

 

离鸟网收录3541549条中英文词条,其功能与新华字典、现代汉语词典、牛津高阶英汉词典等各类中英文词典类似,基本涵盖了全部常用中英文字词句的读音、释义及用法,是语言学习和写作的有利工具。

 

Copyright © 2004-2024 vtrois.com All Rights Reserved
更新时间:2026/4/9 2:07:54