网站首页  词典首页


请输入您要查询的字词:

 

字词 植物蒸腾扩散阻抗
类别 中英文字词句释义及详细解析
释义

植物蒸腾扩散阻抗diffusive resistance of plant transpiration

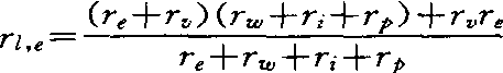
水汽从叶片内向叶片周围的乱流空气中扩散的总阻抗re,a。水汽从叶片内经叶面片流边界层向乱流空气中的扩散过程,其总阻抗为叶片内阻抗re和叶面片流边界层阻抗rv的串联:

re,a=re+rv (1)

而叶片内阻抗re有两条路径,即表皮细胞经角质层的阻抗re,或从叶肉经气孔下腔和气孔管孔的阻抗rs。由于这两条路径是并联的,故

其中第二条路径又可分为串联的三个分量

式中rw、ri和rp分别为叶肉细胞壁、气孔下腔和气孔管孔等阻抗。将(2)与(3)式代入(1)式得出植物蒸腾扩散阻抗

随便看

 

离鸟网收录3541549条中英文词条,其功能与新华字典、现代汉语词典、牛津高阶英汉词典等各类中英文词典类似,基本涵盖了全部常用中英文字词句的读音、释义及用法,是语言学习和写作的有利工具。

 

Copyright © 2004-2024 vtrois.com All Rights Reserved
更新时间:2026/4/9 18:40:12