网站首页  词典首页


请输入您要查询的字词:

 

字词 椭圆抛物面
类别 中英文字词句释义及详细解析
释义
椭圆抛物面

椭圆抛物面tuoyuan paowumian

在空间直角坐标系下,由三元二次方程(a,b>0)所确定的曲面. 这个方程叫做它的标准方程. 椭圆抛物面的性质如下:
❶对称性 曲面关于YZ面、ZX面对称,这两个平面叫做主平面;关于Z轴对称,Z轴叫做主轴;关于原点则不对称.

❷截距 在坐标轴上的截距都是零,因此曲面过原点,并将原点叫做端点或顶点.

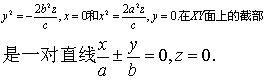
❸截部 在YZ面、ZX面上的截部分别是抛物线x=0和y=0,在XY面上的截部为原点.



❹轮廓线 在z=w上的轮廓线是z=w,当c>0时,w由0变至+∞,当c<0时,w由—∞变至0,所得的平截线都是中心在 (0,0,w)的相似实椭圆,且分别在XY面的上方或下方连续变大,故曲面在XY面的上半空间或下半空间伸延至无穷远.在x=u上的轮廓线是x=u. 当u变化时,表示顶点在焦参数为的全等抛物线.在y=v上的轮廓线也是全等抛物线. c> 0时,曲面的形状见图.
其它两个椭圆抛物面的标准方程是
☚ 双叶双曲面   双曲抛物面 ☛
00013378
随便看

 

离鸟网收录3541549条中英文词条,其功能与新华字典、现代汉语词典、牛津高阶英汉词典等各类中英文词典类似,基本涵盖了全部常用中英文字词句的读音、释义及用法,是语言学习和写作的有利工具。

 

Copyright © 2004-2024 vtrois.com All Rights Reserved
更新时间:2026/4/8 18:58:22