乳果糖
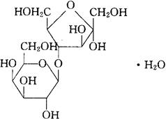
C12H22O11=342.30 CAS-4618-18-2 4-O-β-D-吡喃半乳糖基-D-果糖。 4-O-β-D-Galactopyranosyl-D-fructose. 乳果糖。 Lactulose. 4-O-β-D-吡喃半乳糖基-D-呋喃果糖。 4-O-β-D-Galactopyranosyl-D-fructofuranose. 导泻药。 用于治疗肝病昏迷和慢性便秘。 Lactulose,Cephulac,Chronulac,Duphalac,Bifiteral,Normse,Laevilac. INN,BAN,JAN,USAN,USP(Concentrate). 
|