网站首页  词典首页


请输入您要查询的字词:

 

字词 乳酸喷他佐辛
类别 中英文字词句释义及详细解析
释义 乳酸喷他佐辛

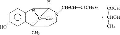
C19H27NO·C3H6O3=375.51

CAS-17146-95-1

CAS-359-83-1(pentazocin)

(2α,6α,11R*)-1,2,3,4,5,6-六氢-6,11-二甲基-3-(3-甲基-2-丁烯基)-2,6-亚甲基-3-苯并吖辛因-8-醇与2-羟丙酸(1∶1)的化合物。

(2α,6α,11R*)-1,2,3,4,5,6-Hexahydro-6,11-dimethyl-3-(3-methyl-2-butenyl)-2,6-methano-3-benzazocin-8-ol,compd.with 2-hydroxypropanoic acid(1∶1).

(2R*,6R*,11R*)-1,2,3,4,5,6-六氢-6,11-二甲基-3-(3-甲基-2-丁烯基)-2,6-亚甲基-3-苯并吖辛因-8-醇乳酸盐的化合物。

(2R*,6R*,11R*)-1,2,3,4,5,6-Hexahydro-6,11-dimethyl-3-(3-methyl-2-butenyl)-2,6-methano-3-benzazocin-8-ol lactate(stlt).

镇痛药。

乳酸戊唑星。

Pentazocine Lactate,Talwin.

USAN,USP.

随便看

 

离鸟网收录3541549条中英文词条,其功能与新华字典、现代汉语词典、牛津高阶英汉词典等各类中英文词典类似,基本涵盖了全部常用中英文字词句的读音、释义及用法,是语言学习和写作的有利工具。

 

Copyright © 2004-2024 vtrois.com All Rights Reserved
更新时间:2026/4/7 22:10:04