网站首页  词典首页


请输入您要查询的字词:

 

字词 正交多项式
类别 中英文字词句释义及详细解析
释义
正交多项式

正交多项式

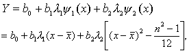
正交多项式是将多项式回归方程

Y=a0+a1X+a2X2+…+akXk (1)

中的X,X2,…,Xk进行适当变换,相应地变成ψ1(X),ψ2(X),…,ψk(X),于是上述回归方程变为

Ŷ=b0ψ0(X)+b1ψ1(X)+…+bkψk(X), (2)

式中每个ψi(X)是X的i次多项式,亦即ψ1(X),ψ2(X),…,ψk(X)分别是X的一次、二次及k次多项式。设X是等间隔取值,则可使X1=1,X2=2,…,Xt=t,…Xn=n。如果Xi=a+h,X2=a+2h,…,Xn=a+nh,则作变换x=X-a/h就可得x1=1,x2=2,…,xn=n;k
为多项式的最高方次,n为样本含量。为简化运算,选择ψi(X),使

这两条性质称为正交性,可以验证下面一组多项式满足上述正交性。故这组多项式称为正交多项式。
由于Ψi(X)(i=1,2,…,k)的值不一定都为整数,为了计算方便,引进适当的系数λi,使
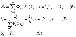
φi=φi(x)=λiΨi(X) ,(5)在n个等间隔点上的值都为整数。对给定的n,相应的λi及φi在第1,2,…,n各点的数值与si=∑φ2i都已制成了正交多项式表供实际计算之用,如表1是摘录n为5 ~8的正交多项式表,详表见有关统计表。

表1 正交多项式表(n为5~8 )


tn
5678
Φ1Φ2Φ3Φ4Φ1Φ2Φ3Φ4Φ5Φ1Φ2Φ3Φ4Φ5Φ1Φ2Φ3Φ4Φ5
1
2
3
4
5
6
7
8
-2
-1
0
1
2
2
-1
-2
-1
2
-1
2
0
-2
1
1
-4
6
-4
1
-5
-3
-1
1
3
5
5
-1
-4
-4
-1
5
-5
7
4
-4
-7
5
1
-3
2
2
-3
1
-1
5
-10
10
-5
1
-3
-2
-1
0
1
2
3
5
0
-3
-4
-3
0
5
-1
1
1
0
-1
-1
1
3
-7
1
6
1
-7
3
-1
4
-5
0
5
-4
1
-7
-5
-3
-1
1
3
5
7
7
1
-3
-5
-5
-3
1
7
-7
5
7
3
-3
-7
-5
7
7
-13
-3
9
9
-3
-13
7
-7
23
-17
-15
15
17
-23
7
si
λi
10
1
14
1
10
5/6
70
35/12
70
2
84
3/2
180
5/3
28
7/12
252
21/10
28
1
84
1
6
1/6
154
7/12
84
7/20
168
2
168
1
264
2/3
616
7/12
2184
7/10

摘自 山内二郎:统计数值表,404,JSA-1972
在多项式回归分析或多项式曲线拟合中,当自变量按等间隔取值时,可利用预制的正交多项式表求各回归系数,使运算过程大大简化,并使不同方次的回归方程的假设检验可以同时进行。
多项式回归分析的方法步骤如下:
(1)根据样本含量n,采用相应的正交多项式表;并按数据描绘的散点图或以往的经验初步确定多项式的方次k (一般k≤5即可,故表中只列出高达5次的正交多项式);从而列出计算表(如表3)。首先计算


则回归方程为


(2)对正交多项式回归进行拟合优度的逐步比较(参见“曲线拟合优度的比较”)。可按表2作方差分析。

表2 正交多项式回归的方差分析


注意:每次多项式φi(X)的系数bi及相应的Biφi(Xi)yi只与Yt及φi(Xt)有关,而不随其他各次多项式的增减而变化。在整个回归分析中,多配一项φi(X)就使回归平方和SS回增加一项biBi。因此可把
biBi=Bi2/si
看作是第i次多项式φi(X)的效应,而回归平方和则是各次效应之和。因此检验所配各次多项式Φi(X)对Y有无贡献,可用各次效应biBi与剩余均方进行F检验,Fi的自由度为1,n-k-1。对于那些没有贡献的高次项可从回归方程中删去。s2之比:


例 不同室温下测定家兔的血糖值,结果如下,试用正交多项式拟合适当的曲线。

温度(℃) X5101520253035
血糖值(mg/dl)Y13012091.589107.5122.5147.5

表3 正交多项式计算表

X
(1)
x
(2)=(1)/5
Φ1
(3)
Φ2
(4)
Φ3
(5)
Y
(6)
Y2
(7)
5
10
15
20
25
30
35
1
2
3
4
5
6
7
-3
-2
-1
0
+1
+2
+3
+5
0
-3
-4
-3
0
+5
-1
+1
+1
0
-1
-1
+1
130.0
120.0
91.5
89.0
107.5
122.5
147.5
16900.00
14400.00
8372.25
7921.00
11556.25
15006.25
21756.25
Bi=∑ΦiY73.5434.5-1808.0 95912.00
(∑Y) (∑Y2)
si
bi=Bi/si
biBi=B2i/si
28
2.625
192.9375
84
5.173
2247.5030
6
-0.1667
0.1667
n=7
b0==808/7
=115.4286
λi111/6

表3第(1)、(6)栏为测定数据,第(2)栏系将第(1)栏等差数据简化为1,2,…,7形式。
表3第(3)~(5)栏上半段及si、λi录自正交多项式表(表1)n=7,k=3(由本例散点图可看出各点趋势呈抛物线,即二次曲线,取比它高一次,故k=3)。
表3下半段:Bi按式(6)计算,如

B1=(-3)(130)+(-2)(120)+(-1)(91.5)+…+(3)(147.5)=73.5,


余仿此。bi按式(7)计算,如

b1=B1/s1=73.5/28=2.625


余仿此。
作方差分析。给定α=0.05,按表2,得


查F界值表得P值,P<0.05者,在F值右上角记“*”号,按

表4 家兔血糖值的正交多项式回归的方差分析

变异来源SSvMSF
2645.71436  
回归:一次
二次
192.9375
2247.5030
1
1
192.9375
2247.5030
2.82
32.87*
三次0.166710.1667<1
2440.60723
剩 余205.1071368.37 
a=0.05水准,可认为二次项对Y有贡献,三次项没有贡献。故宜配二次正交多项式,按式(9)及式(4)得


本例由表3,得b0=115.4286,b1=2.625,b2=5.173,λ1=1,λ2=1, =(1+7)/2=4, x=X/5, n=7。代入方程,并化简得所求的回归方程:

将各X值代入上式可得各相应的估计值Y如下,列出实测值Y以资比较。

X5101520253035
Y13012091.589107.5122.5147.5
 Ŷ133.42110.1897.2894.73102.52120.66149.14

按(X,Ŷ)绘曲线如图,图中黑点是观察值(X,Y)。


室温与家兔血糖值的关系

☚ 多元线性相关   逐步回归分析 ☛
00013275
随便看

 

离鸟网收录3541549条中英文词条,其功能与新华字典、现代汉语词典、牛津高阶英汉词典等各类中英文词典类似,基本涵盖了全部常用中英文字词句的读音、释义及用法,是语言学习和写作的有利工具。

 

Copyright © 2004-2024 vtrois.com All Rights Reserved
更新时间:2026/5/28 14:51:27