网站首页  词典首页


请输入您要查询的字词:

 

字词 正则连分数
类别 中英文字词句释义及详细解析
释义
正则连分数

正则连分数zhengze lianfenshu

有限连分数

或无限连分数

都叫做正则连分数.其中a0是非负整数,n∈N时,an∈N.
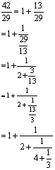
任一个有限正则连分数,只要从最下面开始逐步化简,总能化成一个正有理分数p/q(p,q ∈N).故知有限正则连分数表示一个正有理分数.反之,任何一个正有理分数总可通过辗转相除的方法化为一个有限连分数,例如

自然数k亦可看成(k-1)+1/1.
对于无限正则连分数,不难用数学归纳法证出它的各个渐近分数pn/qn满足关系式:n≥2时

pn=anpn-1+pn-2, qn=an·qn-1+qn-2

其中q0=1,p0=a0,q1=a1,p1=a0a1+1

由此可得

进而又可导出

由于任an>0,qnqn-2>0,故知数列{pn/qn}中,n=2k-1(k∈N)之项递减,而n=2k-2(k∈N)之项递增.又

结合上段所述即知

再注意到对任何n∈N,qn≥n,知

所以


于是根据区间套定理知:pn/qn存在,即正则连分数一定收敛.由于有理数必能化成有限正则连分数,故无限正则连分数之值必是无理数.例如


可以证明:无限正则连分数的各个渐近分数中,n越大的与连分数的真值之差距越小.一般把初项a0叫做这个连分数的一阶渐近分数,pn/qn就相应地叫做第n+1阶渐近分数.
还可以证明:无限正则连分数的任一渐近分数pn/qn,在分母不超过qn的一切有理即约分数中是最接近连分数真值的.
☚ 连分数   循环连分数 ☛
00011978
随便看

 

离鸟网收录3541549条中英文词条,其功能与新华字典、现代汉语词典、牛津高阶英汉词典等各类中英文词典类似,基本涵盖了全部常用中英文字词句的读音、释义及用法,是语言学习和写作的有利工具。

 

Copyright © 2004-2024 vtrois.com All Rights Reserved
更新时间:2026/4/5 17:34:18