网站首页  词典首页


请输入您要查询的字词:

 

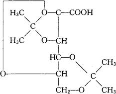
字词 二丙古酸
类别 中英文字词句释义及详细解析
释义 二丙古酸

C12H18O7=274.27

CAS-18467-77-1

2,3∶4,6-二-O-异丙烯基-α-L-木-己酮呋喃糖酸。

2,3∶4,6-Di-O-isopropylidene-α-L-xylo-hexulofuranosonic acid.

二丙右糖酸,双丙古罗糖酸。

Diprogulic Acid.

INN,USAN.

随便看

 

离鸟网收录3541549条中英文词条,其功能与新华字典、现代汉语词典、牛津高阶英汉词典等各类中英文词典类似,基本涵盖了全部常用中英文字词句的读音、释义及用法,是语言学习和写作的有利工具。

 

Copyright © 2004-2024 vtrois.com All Rights Reserved
更新时间:2026/4/7 20:22:30