网站首页  词典首页


请输入您要查询的字词:

 

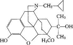
字词 二丙诺啡
类别 中英文字词句释义及详细解析
释义 二丙诺啡

C26H35NO4=425.57

CAS-14357-78-9

31-环丙基-6,7,8-14-四氢-7α-(1-羟-1-甲基乙基)6,14-内-桥亚乙基东罂粟碱。

31-Cyclopropyl-6,7,8-14-tetrahydro-7α-(1-hydroxy1-methylethyl)-6,14-endoethanooripavine.

镇痛药。

Diprenorphine,M50-50 Inzection,M5050.

INN,BAN,USAN.

随便看

 

离鸟网收录3541549条中英文词条,其功能与新华字典、现代汉语词典、牛津高阶英汉词典等各类中英文词典类似,基本涵盖了全部常用中英文字词句的读音、释义及用法,是语言学习和写作的有利工具。

 

Copyright © 2004-2024 vtrois.com All Rights Reserved
更新时间:2026/4/7 21:04:17