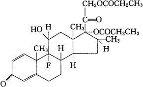
二丙酸倍他米松
C28H37FO7=504.59 CAS-5593-20-4 (11β,16β)-9-氟-11-羟基-16-甲基-17,21-双(1-氧丙氧基)-孕甾-1,4-二烯-3,20-二酮。 (11β,16β)-9-Fluoro-11-hydroxy-16-methyl-17,21-bis(1-oxopropoxy)-pregna-1,4-diene-3,20-dione. 9-氟-11β,17,21-三羟基-16β-甲基孕甾-1,4-二烯-3,20-二酮17,21-二丙酸酯。 9-Fluoro-11β,17,21-trihydroxy-16β-methylpregna1,4-diene-3,20-dione 17,21-dipzopionate. 肾上腺皮质激素类药。 二丙酸倍他米松酯。 Betamethasone Dipropionate,Psorion,Sch 11460,Diprolene,Diprosone. BAN,USAN,USP.  |