二丙酸地塞米松
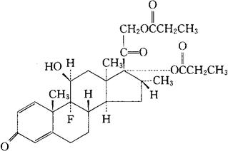
C28H37FO7=504.60 CAS-55541-30-5 (11β,16α)-9-氟-11-羟-16-甲基-17,21-双(1-氧代丙氧基)孕甾-1,4-二烯-3,20二酮。 Prgna-1,4-diene-3,20-dione,9-fluoro-11-hydroxy16-methyl-17,21-bis(1-oxopropoxy)-,(11β,16α)-. 9-氟-11β,17,21-三羟基-16α-甲基孕甾-1,4-二烯-3,20-二酮17,21-二丙酸盐。 9-Fluoro-11β,17,21-trihydroxy-16α-methylpregna1,4-diene-3,20-dione 17,21-dipropionate. 肾上腺皮质激素类药。 Dexamethasone Dipropionate,ST12. USAN. 
|