网站首页  词典首页


请输入您要查询的字词:

 

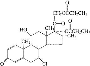
字词 二丙酸阿氯米松
类别 中英文字词句释义及详细解析
释义 二丙酸阿氯米松

C28H37ClO7=521.05

CAS-66734-13-2

CAS-67452-97-5(alclometasone)

7-氯-11-羟基-16-甲基-17,21-双(1-氧丙氧基)-(7α,11β,16α)-孕甾-1,4-二烯-3,20-二酮。

Pregna-1,4-diene-3,20-dione,7-chloro-11-hydro xy16-methyl-17,21-bis(1-oxopropoxy)-,(7α,11β,16α)-.

7α-氯-11β,17,21-三羟基-16-甲基孕甾-1,4-二烯-3,20-二酮17,21-二丙酸酯。

7α-Chloro-11β,17,21-trihydroxy-16-methylpregna1,4-diene-3,20-dione 17,21-dipropionate.

肾上腺皮质激素类药。

二丙酸别氯地松。

Alclometasone Dipropionate,Aclovate,Vaderm,Sch22219,Delonal.

INN & BAN(Alclometasone),USAN,USP.

随便看

 

离鸟网收录3541549条中英文词条,其功能与新华字典、现代汉语词典、牛津高阶英汉词典等各类中英文词典类似,基本涵盖了全部常用中英文字词句的读音、释义及用法,是语言学习和写作的有利工具。

 

Copyright © 2004-2024 vtrois.com All Rights Reserved
更新时间:2026/4/7 9:18:12