网站首页  词典首页


请输入您要查询的字词:

 

字词 二元一次方程组的图象解法步骤
类别 中英文字词句释义及详细解析
释义 二元一次方程组的图象解法步骤

1.变形:把方程组中的两个方程都变形成y=kx+b的形式.

2.作图:在同一个直角坐标系中作出上步变形后的两个一次函数的图象.

3.得解:观察图象,找出两条直线的交点坐标,即为方程组的解.

注意 图象解法得到的是二元一次方程组的近似解.

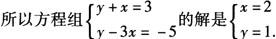
例 作图象的方法解方程组

观察图象,得l1,l2的交点坐标为(2,1).…得解

随便看

 

离鸟网收录3541549条中英文词条,其功能与新华字典、现代汉语词典、牛津高阶英汉词典等各类中英文词典类似,基本涵盖了全部常用中英文字词句的读音、释义及用法,是语言学习和写作的有利工具。

 

Copyright © 2004-2024 vtrois.com All Rights Reserved
更新时间:2026/5/31 15:12:06