二元一次方程组的解
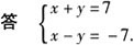
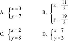
二元一次方程组中各个方程的公共解,叫做这个二元一次方程组的解. 例1 写出一个以 为解的二元一次方程组__.  [解析] 该题是开放题,答案不惟一,求解时只要得出两个有关x、y的等式即可  例2 二元一次方程组 的解是( ).  答 A. [解析] 可以分别把A、B、C、D中的x、y代入原方程组的每个方程,当然也可以解方程组. 注意 二元一次方程组的解有以下三种类型. 1.有且只有一个解(惟一解). 例如方程组 有一个解 现阶段,我们主要研究这种只有一个解的二元一次方程组. 2.有无数个解. 例如方程组 有无数个解,这是因为这两个方程其实是一个方程. 3.无解. 例如方程组 无解,这是因为第一个方程的所有解都不是第二个方程的解,这两个方程是相互矛盾的,因此由这两个方程组成的方程组必定无解. |