二元线性回归预测法
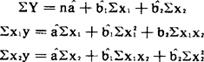
指利用二个变量与因变量之间的线性关系进行预测的方法。 其特点是影响预测值的因素有二个,且预测值与这二个因素成线性关系,反映在图形上是条直线。其数学模型为:  式中:Y表示预测值(即因变量);x1表示影响因素(即自变量)之一;x2表示影响因素(即自变量)之二; 、 、 表示回归系数。 用二元线性回归预测法进行预测时,关键是要确定该模型,而该模型建立的基础,是求出回归系数 、 和 0 、 和 由通过最小二乘法演变而来的下列方程组确定:  预测时,首先要收集一系列x1,x2与y的资料,然后通过分析整理,检验其关系是否符合模型 ,若符合,则再通过以上联立方程求出 、 、 ,据此建立具体预测模型,最后利用该模型进行预测。 |