网站首页  词典首页


请输入您要查询的字词:

 

字词 毒物动力学
类别 中英文字词句释义及详细解析
释义

毒物动力学toxicokinetics

系研究毒物在体内吸收后转运代谢的科学。毒物吸收后分布可不同,因此对器官或组织损害亦不同;生物转化不一,有些成为低毒或无毒物,有的可毒性增大;代谢途径不一,由于从不同组织与器官排泄,可对该组织与器官造成损害。科研中通过测检与运算的方法了解毒物在体内贮存的部位、含量和时间,从而确定毒物的动力学,在医疗用药上有重要意义。

毒物动力学toxicokinetics

是研究毒物在体内吸收、分布、生物转化和排泄过程定量规律的学科。它把生物体对毒物的转运过程模拟为简单的一个室或较为复杂的二室或多室模型,应用数学方法对生物样本中测定的毒物含量数据,通过运算处理,揭示毒物在体内存在部位、含量和时间三者关系,定量阐明毒物体内的动态规律。毒物动力学是由药物动力学派生而来。

毒物动力学

毒物动力学

毒物动力学系由药物动力学派生而来。其内容主要是阐明化学物或其代谢产物在生物体内的量或浓度变化过程。着重研究化学物在机体内的吸收、分布、生物转化和排泄过程的定量规律。它把机体对化学物的转运过程模拟为简单的一个室或较为复杂的二室或多室模型,应用数学方法,对生物样本中化学物含量的测定数据,通过运算处理,计算出化学物在体内的浓度随时间变化的各种基本参数,从而用特定的数学方程式,定量地阐明化学物在体内的动态规律。因此,毒物动力学是毒理学与数学的边缘学科。其分析步骤大致可分为:
❶根据某一化学物在生物体内转运的特点,提出适当的室模型;
❷根据选择的室模型,列出微分方程并求解;
❸由实验数据计算模型的各项参数及其估计误差;
❹应用动力学数据,对化学物进行毒理学安全评价,或对急性中毒的处理及毒作用机理进行研究。
动力学即速率论,系用数学模型模拟机体,即将身体视作一个系统,系统内按动力学特点分为若干室。这是一个便于分析用的抽象概念,是组成模型的基本单位。只要体内某些部位受纳化学物及消除化学物的速率常数相似,则不论其解剖位置和生理功能如何,都可看作为一个单位,即一个室。但室的划分常与体内各组织器官的解剖生理特点似有一定的联系,即与器官组织的血流量、生物膜的通透性、化学物与组织的亲和力和在组织与血浆间的分配比等因素有关。化学物进入机体后,仅在各分室间转运,不再从机体排出或代谢转化的,称“封闭系统”;如果化学物以不同速度、不同途径、不可逆地从机体排出或转化的,称“开放系统”。大多数毒物属后一种情况。


一室模型D0为给化学物量; Ka为吸收速率常数; K为消除速率常数; C为血浆中浓度; Vd为分布容积; C·Vd为体内化学物量; E为化学物消除量。
最简单的毒物动力学模型为一室模型,如下图所示。该模型假设给化学物后,它能立即均匀地分布于所有组织中,并在组织与体液中达到平衡,血浆中浓度的改变能定量地反映其他组织中浓度的改变,最后通过排泄或生物转化消除。此时,静脉注射即刻吸收后,并按一级速率从体内消除,其消除速率可表示如下:
C为t时的血浆化学物浓度,Ke为此化学物的消除速率常数,即单位时间内(分钟-1或小时-1)浓度变化量与存在浓度之间的比值,负号表示化学物从体内消失。则任何时间的血浆浓度(Ct)表达如下式:
实际上一室模型较为少见,大多数化学物在体内的过程符合开放式二室模型,也有三室模型,甚至多室模型。如下图所示。


二室(A)和三室(B)开放式模型示意图


K12、K21、K13和K31代表各室之间的转运速率常数(K右下所附加的前、后两个数字,代表从何室至何室)
图中Ⅰ代表中央室,往往是化学物首先进入的区域,除代表血浆外,通常还包括细胞外液以及心、肺、肝、肾、腺体等血管丰富、血流畅通的组织,而周边室(Ⅱ或Ⅲ)一般代表血管稀少、血流缓慢的组织,如脂肪及骨组织等。脑的血液供应丰富,但因存在血脑屏障,其属何室,与化学物理化性质有关。
符合开放式二室模型的化学物,静脉注射后的时程变化,若以血浆中化学物的浓度为纵坐标,时间为横坐标,在半对数纸上就可绘出一双相曲线 (见下图),并符合如下方程式:
Ct= Ae-αt+ Be-βt (3)


血浆中浓度或体内量与时间的函数关系模拟图


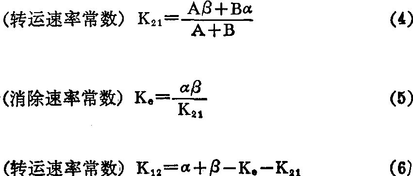
化学物入体的初期,分布与消除同时进行,主要反映化学物从中央室向周边室分布,称分布相,亦称快相,血中化学物浓度在半对数纸上呈直线下降; 待分布达到平衡后,血中浓度趋于缓慢下降,反映化学物自体内的消除,称消除相,又称慢相。将此β直线部分向纵轴延伸,所交纵轴的点为B值。将血中化学物实测值减去β线上同一时间各相应点的数值,其差值在同一半对数坐标纸上可得到另一条α直线,交于纵轴的点为A值。此直线主要反映药物向组织的分布。若化学物的消除过程中出现一个明显的慢相,提示重复接触时,有产生蓄积毒性的可能。
根据A,B,α,β各值,可按下式求出各速率常数。


有的化学物缓慢地进入骨组织或脂肪中,一室、二室模型不能满意地解释化学物的体内过程,此时符合三室模型化学物浓度-时间曲线可用三项指数公式来阐明即刻及收后的血浆浓度(Ct),其方程式为:
Ct=Ae-αt+Be-βt+ Ge-γt (7)
化学物进入体内后,实际上在各组织中的分布量是不同的。但在进行动力学计算时,假定化学物在血浆及一切组织中的亲和力相等,在这种假设条件下,化学物分布所需要的容积,称为表观分布容积(Vd)。必须指出,这种空间在体内是不存在的,事实上仅代表一个比例因子,因此在一室模型中的Vd:

Do为原始给予量,Co为初始血浆浓度。


在二室模型中,Vd情况较为复杂,从原理上讲,二者的计算相似。 若α≫β的情况下,

Vp为中央室容积


Vd的意义在于反映化学物在组织内分布的广泛性和与组织中生物大分子结合的程度。
吸收是化学物进入体内的第一环节。入体途径、吸收速率和程度的不一,都可影响化学物在血中浓度的变化。化学物经各种不同途径的吸收动力学过程颇为复杂。假定经口给予化学物的吸收为一级速率过程,属一室模型,其公式为:
由于化学物可经几个途径消除和/或代谢转化,因此某一排出途径的排泄速率与总的消除速率可能不同。如某一化学物既能经尿(u)和呼气(r)排出,也能通过代谢途径转化为X化合物(mx)被消除。在此情况下,总的消除速率常数:
K=Ku+Kr+Kmx (11)
清除率(C清)为化学物自体内消除效率的另一种表示方法,一般指任何一个器官,不可逆地除去通过该器官血流中化学物的能力。
Re为单位时间内化学物排出量,Ct为血中化学物浓度。肾脏的清除率(CR),可以下式表示:
u为尿中化学物浓度(mg/ml),V为每分钟尿量(ml),
C为集尿间隔中点时间的血中化学物浓度(mg/mi)。
生物半排期指化学物自体内消除半量的时间。在一室模型中,化学物在体内的动态变化呈一级速率过程,当血中化学物浓度下降至初始值的一半,即Ct=0.5C。时,则:
就一室模型而言,K相当于Ke; 若为二室模型,K则相当于α或β,其分布相半衰期(T1/2,α)和消除相半衰期(T1/2,β),分别由下列公式表示:
从以上公式可见,对于一级速率过程,T1/2与所给化学物原始量无关。
通常,在一定剂量范围内,给予不同量的毒物所得到的剂量-反应曲线,呈对数-正态分布。这种曲线经用对数概率法使之转换成直线并外推时,可预测某些人在接触很小剂量时就发生反应。但在另一些人,虽接触很大剂量也不反应,即所研究的这种化学物的动力学变化,不取决于所给的剂量。若化学物所给的剂量大大超过机体代谢和排泄的负荷能力时,其毒效应将会与剂量不成比例地增加,这种非线性动力学,在毒理学中也具有十分重要的意义。
☚ 化学物联合作用   毒物化学分析 ☛
00014303
随便看

 

离鸟网收录3541549条中英文词条,其功能与新华字典、现代汉语词典、牛津高阶英汉词典等各类中英文词典类似,基本涵盖了全部常用中英文字词句的读音、释义及用法,是语言学习和写作的有利工具。

 

Copyright © 2004-2024 vtrois.com All Rights Reserved
更新时间:2026/4/9 11:32:50