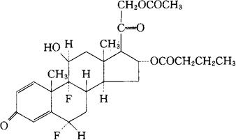
二氟泼尼酯
C27H34F2O7=508.56 CAS-23674-86-4 (6α,11β)-21-(乙酰氧)-6,9-二氟-11-羟-17-(1-氧代丁氧)-孕甾-1,4-二烯-3,20-二酮。 Pregna-1,4-diene-3,20-dione,21-(acetyloxy)-6,9-difluoro-11-hydroxy-17-(1-oxobutoxy)-,(6α,11β)-. 6α,9-二氟-11β,17,21-三羟孕甾-1,4-二烯-3,20-二酮21-醋酸酯17-丁酸酯。 6α,9-Difluoro-11β,17,21-trihydroxypregna-1,4-di ene-3,20-dione 21-acetate 17-butyrate. Difluprednate,W 6309. INN,USAN.  |