网站首页  词典首页


请输入您要查询的字词:

 

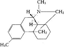
字词 二甲啡烷
类别 中英文字词句释义及详细解析
释义 二甲啡烷

C18H25N=255.40

CAS-36309-01-0

(+)-3,17-二甲基吗啡喃。

(+)-3,17-Dimethylmorphinan.

d-3-甲基-N-甲基吗啡喃。

d-3-Methyl-N-methylmorphinan.

镇咳药。

二甲吗喃。

Dimemorfan,AT-17.

INN,DCIT,USAN,MI.

随便看

 

离鸟网收录3541549条中英文词条,其功能与新华字典、现代汉语词典、牛津高阶英汉词典等各类中英文词典类似,基本涵盖了全部常用中英文字词句的读音、释义及用法,是语言学习和写作的有利工具。

 

Copyright © 2004-2024 vtrois.com All Rights Reserved
更新时间:2026/5/25 9:19:41