网站首页  词典首页


请输入您要查询的字词:

 

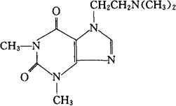
字词 二甲沙生
类别 中英文字词句释义及详细解析
释义 二甲沙生

C11H17N5O2=251.29

CAS-519-30-2

7-(2-二甲氨基乙基)茶碱。

7-(2-Dimethylaminoethyl)theophylline.

利尿药。

Dimethazan.

USAN,MI.

随便看

 

离鸟网收录3541549条中英文词条,其功能与新华字典、现代汉语词典、牛津高阶英汉词典等各类中英文词典类似,基本涵盖了全部常用中英文字词句的读音、释义及用法,是语言学习和写作的有利工具。

 

Copyright © 2004-2024 vtrois.com All Rights Reserved
更新时间:2026/4/7 6:44:01