网站首页  词典首页


请输入您要查询的字词:

 

字词 二盐酸卡哌拉明
类别 中英文字词句释义及详细解析
释义 二盐酸卡哌拉明

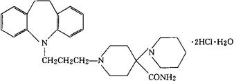
C28H35N4O·2HCl·H2O=537.57

CAS-7075-03-8

1′-[3-(10,11-二氢-5H-二苯并[b,f]氮杂-5-基)丙基]-1,4′-(联哌啶)-4′-甲酰胺二盐酸盐,一水化合物。

1′-[3-(10,11-Dihydro-5H-dibenz[b,f]azepin-5-yl)propyl]-(1,4′-bipiperidine)-4′-carboxamide dihydrochloride monohydrate.

抗抑郁药。

盐酸卡匹怕明,盐酸卡匹明。

Carpipramine Dihydlochroride,Prazinie.

随便看

 

离鸟网收录3541549条中英文词条,其功能与新华字典、现代汉语词典、牛津高阶英汉词典等各类中英文词典类似,基本涵盖了全部常用中英文字词句的读音、释义及用法,是语言学习和写作的有利工具。

 

Copyright © 2004-2024 vtrois.com All Rights Reserved
更新时间:2026/4/7 5:43:49