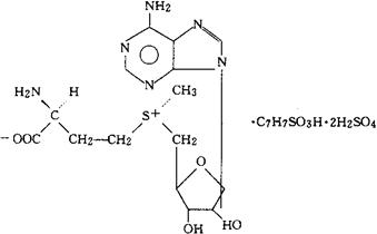
二硫酸托西酸腺苷蛋氨酸
C15H22N6O5S·C7H7SO3H·2H2SO4=766.88 (±)-5′-[(R*)-[(R*)-3-氨基-3-羧丙基]甲锍基]-5′-去氧腺苷氢氧化物,甲苯磺酸二硫酸盐形成的内盐。 (±)-5′-[(R*)-[(R*)-3-Amino-3-carboxypropyl]methylsulfonio]-5′-deoxyadenosine hydroxide,inner salt,tosilate bisulfate. 腺嘌呤9-β-呋喃核糖苷蛋氨酸甲苯磺酸二硫酸盐。 Adenine 9-β-ribofuranoside methionine tolylsulfonate bisulfate. 消炎镇痛药。用于炎性活动性退化性关节病。 腺苷蛋氨酸甲苯磺酸二硫酸盐,甲苯磺酸二硫酸腺苷蛋氨酸。 Ademethionine Tosilate Bisulfate. 
|