网站首页  词典首页


请输入您要查询的字词:

 

字词 二羟苯宗
类别 中英文字词句释义及详细解析
释义 二羟苯宗

C14H12O4=244.25

CAS-131-53-3

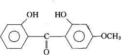
(2-羟-4-甲氧苯基)(2-羟苯基)甲基酮。

Methanone,(2-hydroxy-4-methoxyphenyl)(2-hydroxyphenyl)-.

2,2′-二羟-4-甲氧-二苯甲酮。

2,2′-Dihydroxy-4-methoxybenzophenone.

防晒药。

Dioxybenzone,NSC-56769,Cyasorb UV 24,Spectra-Sorb UV 24.

INN,USAN,USP.

随便看

 

离鸟网收录3541549条中英文词条,其功能与新华字典、现代汉语词典、牛津高阶英汉词典等各类中英文词典类似,基本涵盖了全部常用中英文字词句的读音、释义及用法,是语言学习和写作的有利工具。

 

Copyright © 2004-2024 vtrois.com All Rights Reserved
更新时间:2026/4/7 0:18:44