网站首页  词典首页


请输入您要查询的字词:

 

字词 二通插装阀的工作原理
类别 中英文字词句释义及详细解析
释义 二通插装阀的工作原理

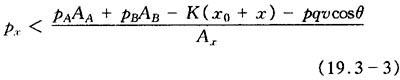
在图19.3-4中,压力油从A腔进入,B腔流出,此时阀芯上的力平衡方程为

FA+FB=Fx+Fy+FK+FG±Ff (19.3-1)

式中 AA,AB,Ax——分别为A,B,X腔液压力作用面积;

FA,FB,Fx——分别为作用在A,B,x面积上之液压力;

Fy——稳态液动力;

FK——弹簧力;

FG——重力;

Ff——摩擦力。

相对来说,FG、Ff较小可忽略,将FA=pAAA,FB=pBAB,Fx=pxAx,Fy=ρqvcosθ代入(19.3-1)式

pAAA+pBAB=K(x0+x)+ρqvcosθ+pxAx

时阀口开启。

从式(19.3-2)和式(19.3-3)可见,二通插装阀的工作原理是依靠控制腔(.x腔)的压力大小来启闭的。控制腔压力大时,阀口关闭。压力小时,阀口开启。图19.3-1所示的位置为阀口关闭。A腔与B腔不通,先导控制元件3通电换向,阀口开启,A腔与B腔接通。

随便看

 

离鸟网收录3541549条中英文词条,其功能与新华字典、现代汉语词典、牛津高阶英汉词典等各类中英文词典类似,基本涵盖了全部常用中英文字词句的读音、释义及用法,是语言学习和写作的有利工具。

 

Copyright © 2004-2024 vtrois.com All Rights Reserved
更新时间:2026/4/8 13:34:23